Open Access
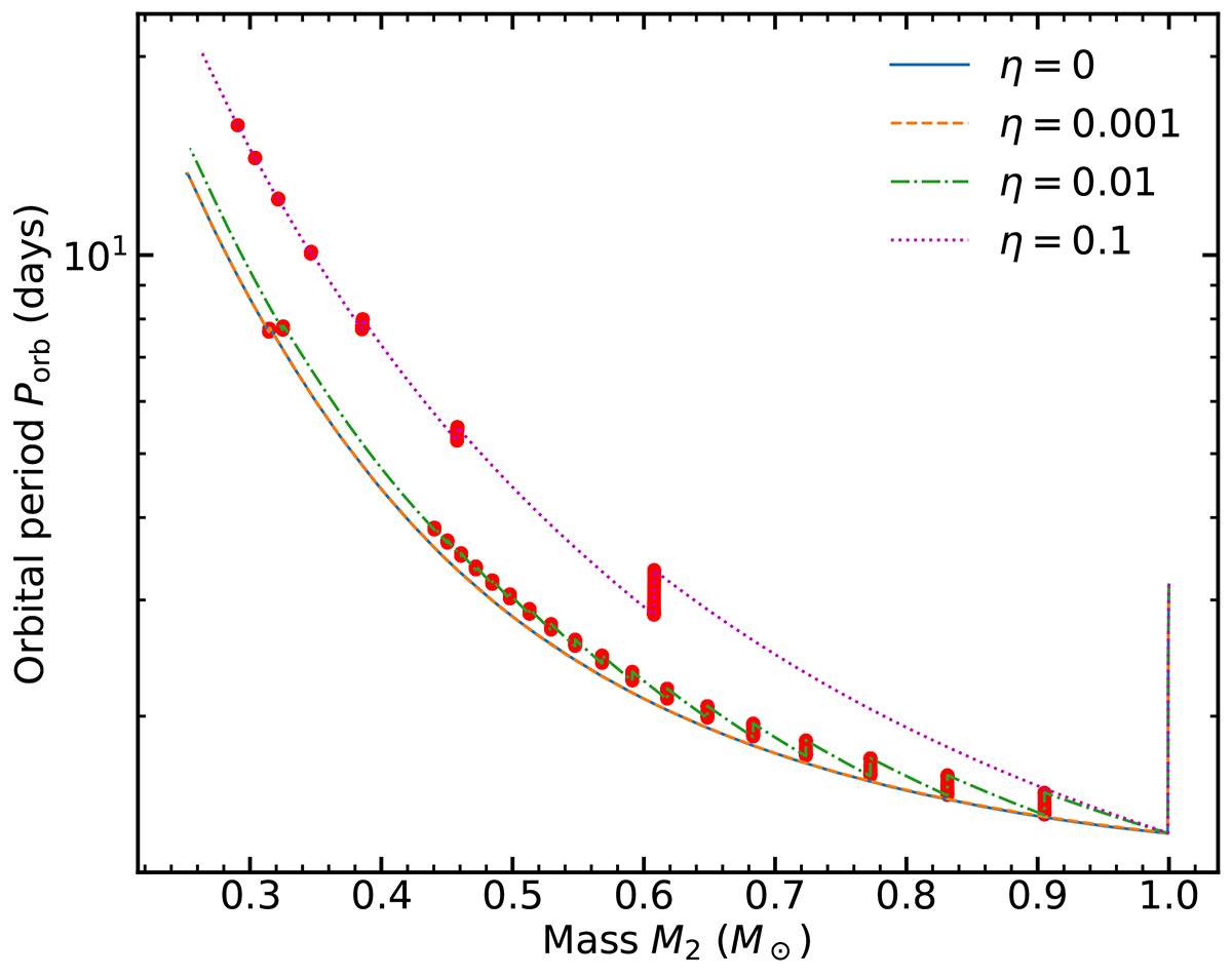
Fig. 6.

Download original image
Corresponding evolution of Fig. 2 in the M2 − Porb diagram. The differently colored lines indicate different irradiation efficiencies. The red dots indicate rmag > rlc, i.e., the system can be considered as a binary radio pulsar.
Current usage metrics show cumulative count of Article Views (full-text article views including HTML views, PDF and ePub downloads, according to the available data) and Abstracts Views on Vision4Press platform.
Data correspond to usage on the plateform after 2015. The current usage metrics is available 48-96 hours after online publication and is updated daily on week days.
Initial download of the metrics may take a while.