Open Access

Fig. 7

image

Download original image

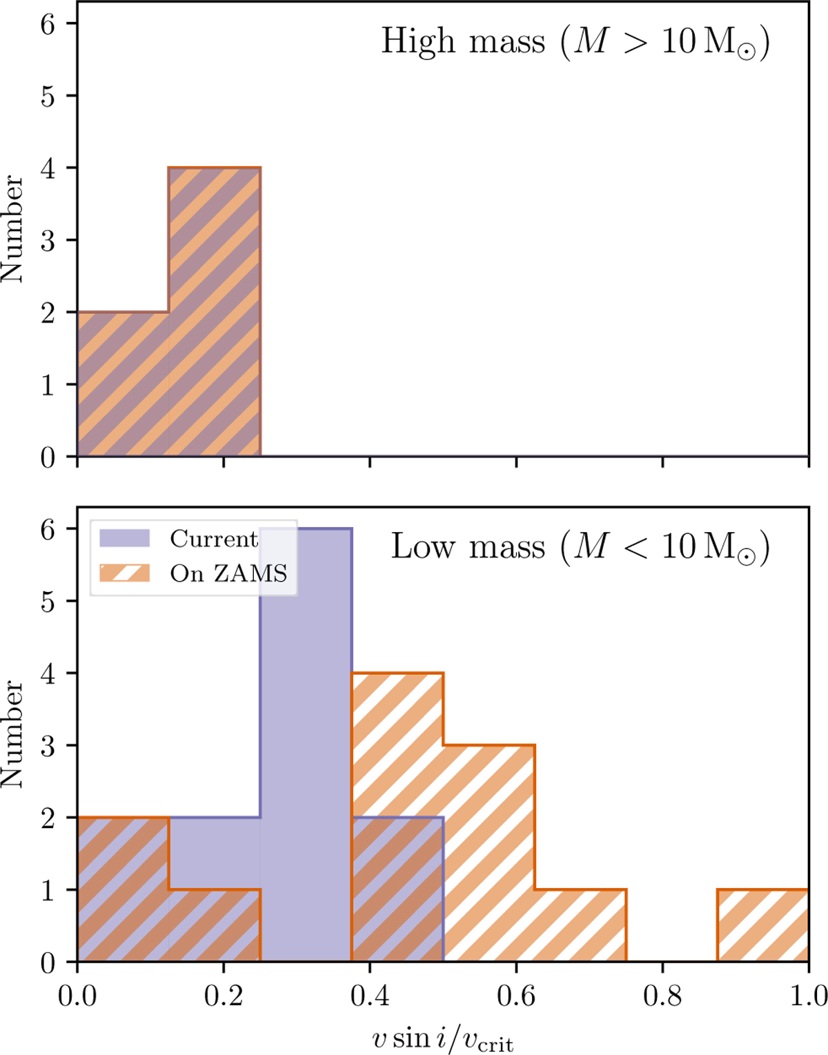
Distribution of the projected equatorial rotational velocities divided by the critical rotation. Top panel: Higher-mass stars that have reached the ZAMS. Bottom panel: Lower-mass stars that have not yet reached the ZAMS. The value of 3 sin i/υcrit is shown for both the current rotation rate and the expected rotation rate when they reach the main sequence.

Current usage metrics show cumulative count of Article Views (full-text article views including HTML views, PDF and ePub downloads, according to the available data) and Abstracts Views on Vision4Press platform.

Data correspond to usage on the plateform after 2015. The current usage metrics is available 48-96 hours after online publication and is updated daily on week days.

Initial download of the metrics may take a while.