Open Access

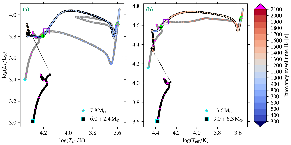
Fig. 1.

image

Download original image

HRD with evolutionary tracks for a merger product of M = 6.0 + 2.4 M and a genuine single star with an initial mass of M = 7.8 M (Panel a), and a merger product of M = 9.0 + 6.3 M and a genuine single star with an initial mass of M = 13.6 M (Panel b). The merger and genuine single-star tracks are shown in black and grey, respectively. To avoid cluttering, the track of the merger model is not shown during the fast accretion phase. A dashed black line replaces it. Each evolutionary track is connected to its label through a symbol on the HRD at the ZAMS. The green plus symbols indicate the position in the HRD after 106 years have passed since the merging or TAMS for the merger product and single star, respectively. The colours on the tracks are related to the buoyancy travel time, Π0. The violet box indicates the position at which we compare the asteroseismic properties of the merger product and genuine single star in Sects. 4.1.1 and 4.1.2.

Current usage metrics show cumulative count of Article Views (full-text article views including HTML views, PDF and ePub downloads, according to the available data) and Abstracts Views on Vision4Press platform.

Data correspond to usage on the plateform after 2015. The current usage metrics is available 48-96 hours after online publication and is updated daily on week days.

Initial download of the metrics may take a while.