Open Access

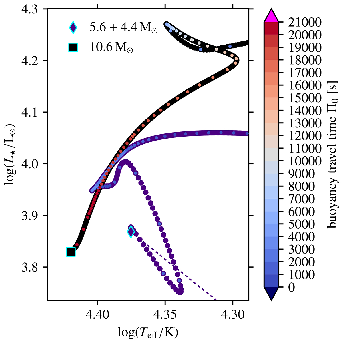
Fig. 11.

image

Download original image

Zoomed-in view of the part of the HRD track of the 5.6 + 4.4 M merger product from Fig. 9 that coincides with the MS of a 10.6 M genuine singe star. We draw attention to the different colour bar scaling than in Fig. 9.

Current usage metrics show cumulative count of Article Views (full-text article views including HTML views, PDF and ePub downloads, according to the available data) and Abstracts Views on Vision4Press platform.

Data correspond to usage on the plateform after 2015. The current usage metrics is available 48-96 hours after online publication and is updated daily on week days.

Initial download of the metrics may take a while.