Fig. A.1.

Download original image
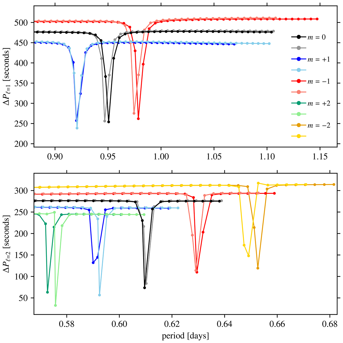
PSPs for a 6.0 + 2.4 M⊙ merger product with Ω = 0.2Ωc in the inertial frame using the TAR and treating the Coriolis force as a perturbation. Light colours (grey, light blue, salmon, light green, and gold) indicate the results when the Coriolis force is treated as a perturbation. Dark colours (black, blue, red, bluish-green, and orange) show those for when the TAR is used. Panel (a) shows the PSPs for (ℓ, m) = (1, − 1), (1, 0), and (1, + 1) modes, and Panel (b) those for (ℓ, m) = (2, − 2), (2, − 1), (2, 0), (2, + 1), and (2, + 2) modes.
Current usage metrics show cumulative count of Article Views (full-text article views including HTML views, PDF and ePub downloads, according to the available data) and Abstracts Views on Vision4Press platform.
Data correspond to usage on the plateform after 2015. The current usage metrics is available 48-96 hours after online publication and is updated daily on week days.
Initial download of the metrics may take a while.