Open Access

Fig. 7

image

Download original image

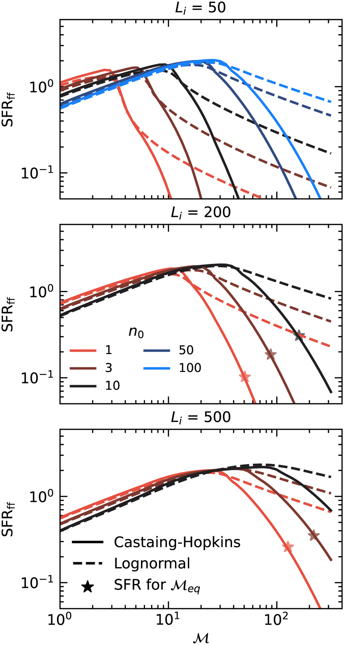
SFR for three values of Li, the injection length of turbulence, and several values of n0, the mean density, as a function of the Mach number. Solid lines represent the model using the Castaing-Hopkins PDF and dot-dashed ones used the log-normal PDF. For all curves ηd = 0.5. The star markers correspond to the Mach number which results from the mechanical equilibrium within a self-gravitating gas rich galactic disk as stated by Eq. (59).

Current usage metrics show cumulative count of Article Views (full-text article views including HTML views, PDF and ePub downloads, according to the available data) and Abstracts Views on Vision4Press platform.

Data correspond to usage on the plateform after 2015. The current usage metrics is available 48-96 hours after online publication and is updated daily on week days.

Initial download of the metrics may take a while.