Fig. 6

Download original image
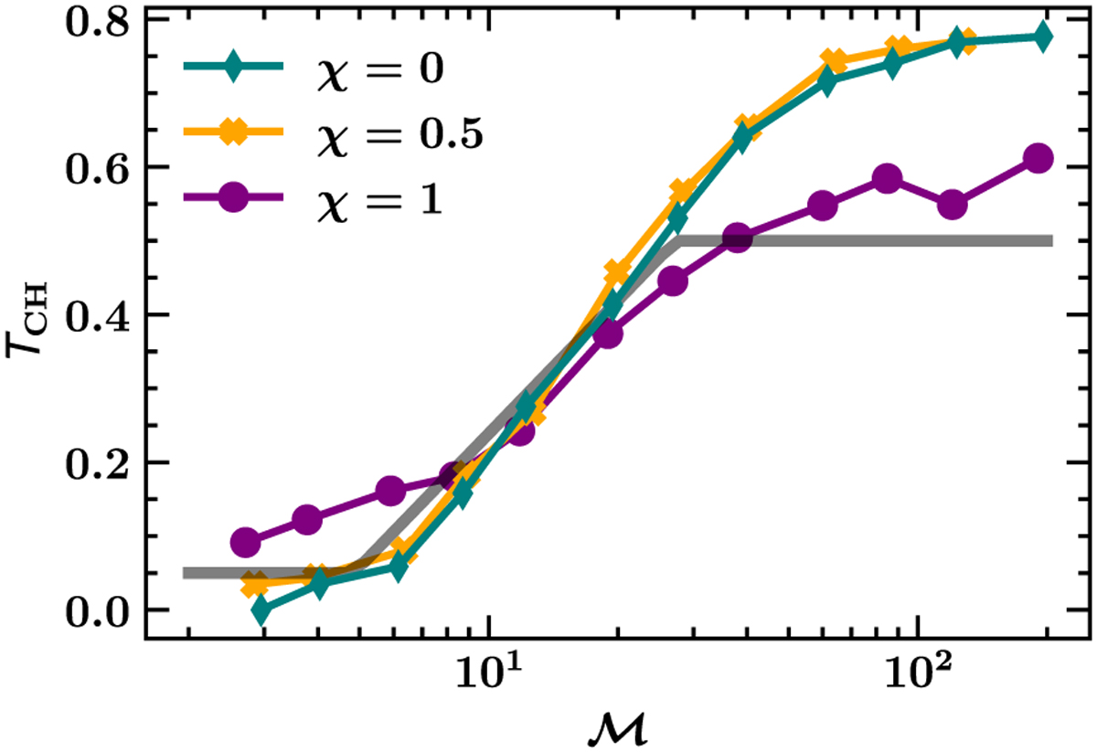
Fitted TCH parameter of the Castaing-Hopkins PDF (Hopkins 2013) as a function of the Mach number and compressibility of the driving for the group L1000_512. Here we allowed the fit to explore the full [0–1] range of possible values, while in Fig. 4 we imposed TCH < 0.5 to avoid nonphysical drop of the PDF at high density. Grey solid line is a rough approximation used in Paper I and in Fig. 14.
Current usage metrics show cumulative count of Article Views (full-text article views including HTML views, PDF and ePub downloads, according to the available data) and Abstracts Views on Vision4Press platform.
Data correspond to usage on the plateform after 2015. The current usage metrics is available 48-96 hours after online publication and is updated daily on week days.
Initial download of the metrics may take a while.