Open Access

Fig. 8

image

Download original image

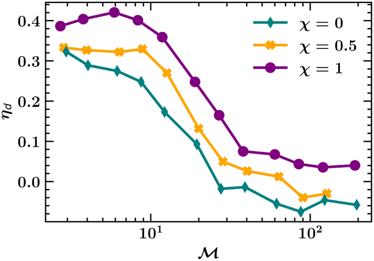
The ηd parameter computed from the slope of the power spectrum of the natural logarithm of density (Fig. 7, Eq. (12)) as a function of the Mach number and compressibility of the driving.

Current usage metrics show cumulative count of Article Views (full-text article views including HTML views, PDF and ePub downloads, according to the available data) and Abstracts Views on Vision4Press platform.

Data correspond to usage on the plateform after 2015. The current usage metrics is available 48-96 hours after online publication and is updated daily on week days.

Initial download of the metrics may take a while.