Open Access
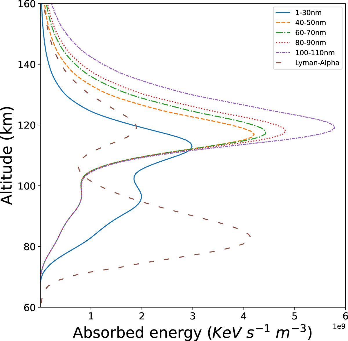
Fig. 4

Download original image
Typical photon penetration and energy deposition for a variety of spectral bands. The shape and intensity of each wavelength depend on the vertical distribution and variability of CO2 in the solar spectrum.
Current usage metrics show cumulative count of Article Views (full-text article views including HTML views, PDF and ePub downloads, according to the available data) and Abstracts Views on Vision4Press platform.
Data correspond to usage on the plateform after 2015. The current usage metrics is available 48-96 hours after online publication and is updated daily on week days.
Initial download of the metrics may take a while.