Open Access
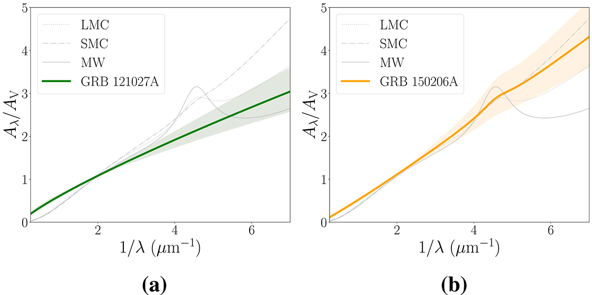
Fig. 11.

Download original image
Measured extinction curves for GRB 121027A (left) and GRB 150206A (right) compared to the MW, SMC and LMC extinction curve. The shaded areas correspond to the 1σ uncertainty. (a) GRB 121027A, (b) GRB 150206A.
Current usage metrics show cumulative count of Article Views (full-text article views including HTML views, PDF and ePub downloads, according to the available data) and Abstracts Views on Vision4Press platform.
Data correspond to usage on the plateform after 2015. The current usage metrics is available 48-96 hours after online publication and is updated daily on week days.
Initial download of the metrics may take a while.