Fig. 7.

Download original image
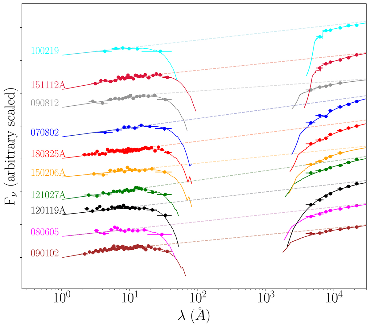
X-ray/NIR SEDs of the 10 GRBs fitted with our simpler model of extinction, labeled on the left side and ordered by redshift. Data have been corrected for Galactic foreground extinction, the soft X-ray absorption and the host galaxy extinction (solid lines). The best fit intrinsic model to each afterglow is also indicated (dashed lines). The X-ray spectrum has been extracted at times excluding rapid fading and flares and then shifted at the GROND epoch if not available simultaneously. For better clarity, the unit of the flux density is completely arbitrary and the wavelength is plotted in the rest-frame.
Current usage metrics show cumulative count of Article Views (full-text article views including HTML views, PDF and ePub downloads, according to the available data) and Abstracts Views on Vision4Press platform.
Data correspond to usage on the plateform after 2015. The current usage metrics is available 48-96 hours after online publication and is updated daily on week days.
Initial download of the metrics may take a while.