Fig. 2.

Download original image
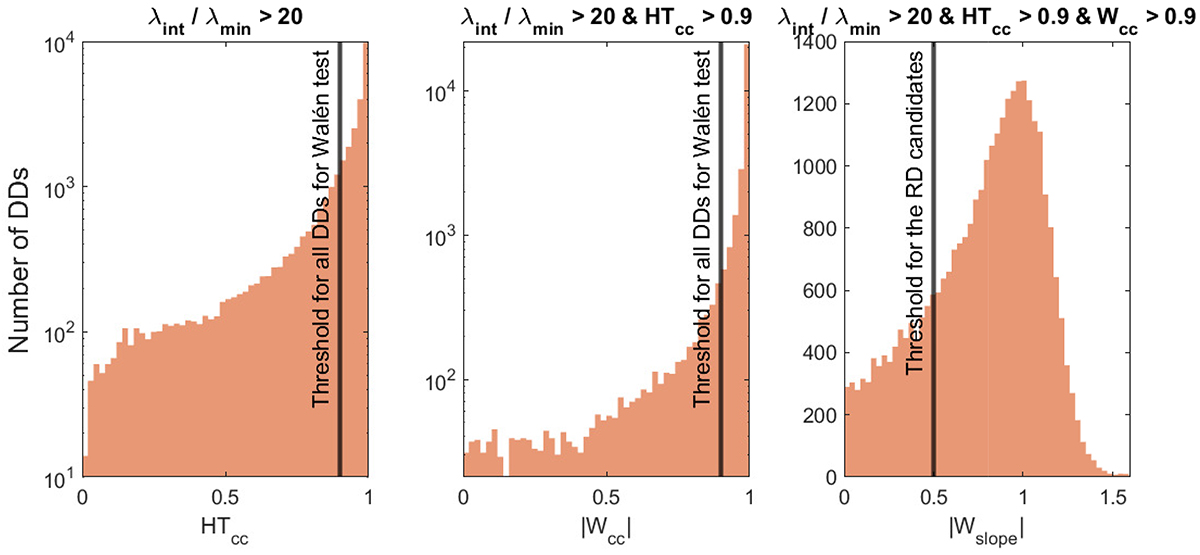
Histograms of the quality parameters for the HT analysis and the Walén test. Left: histogram of the HT fit correlation coefficient for DDs with λint/λmin > 20 MVA normals. Middle: histogram of the Walén-scatterplot correlation coefficient magnitude of events with both λint/λmin > 20 and HTcc > 0.9. Right: distribution of Walén slope magnitude of DDs that met all the previous conditions.
Current usage metrics show cumulative count of Article Views (full-text article views including HTML views, PDF and ePub downloads, according to the available data) and Abstracts Views on Vision4Press platform.
Data correspond to usage on the plateform after 2015. The current usage metrics is available 48-96 hours after online publication and is updated daily on week days.
Initial download of the metrics may take a while.