Fig. A.1

Download original image
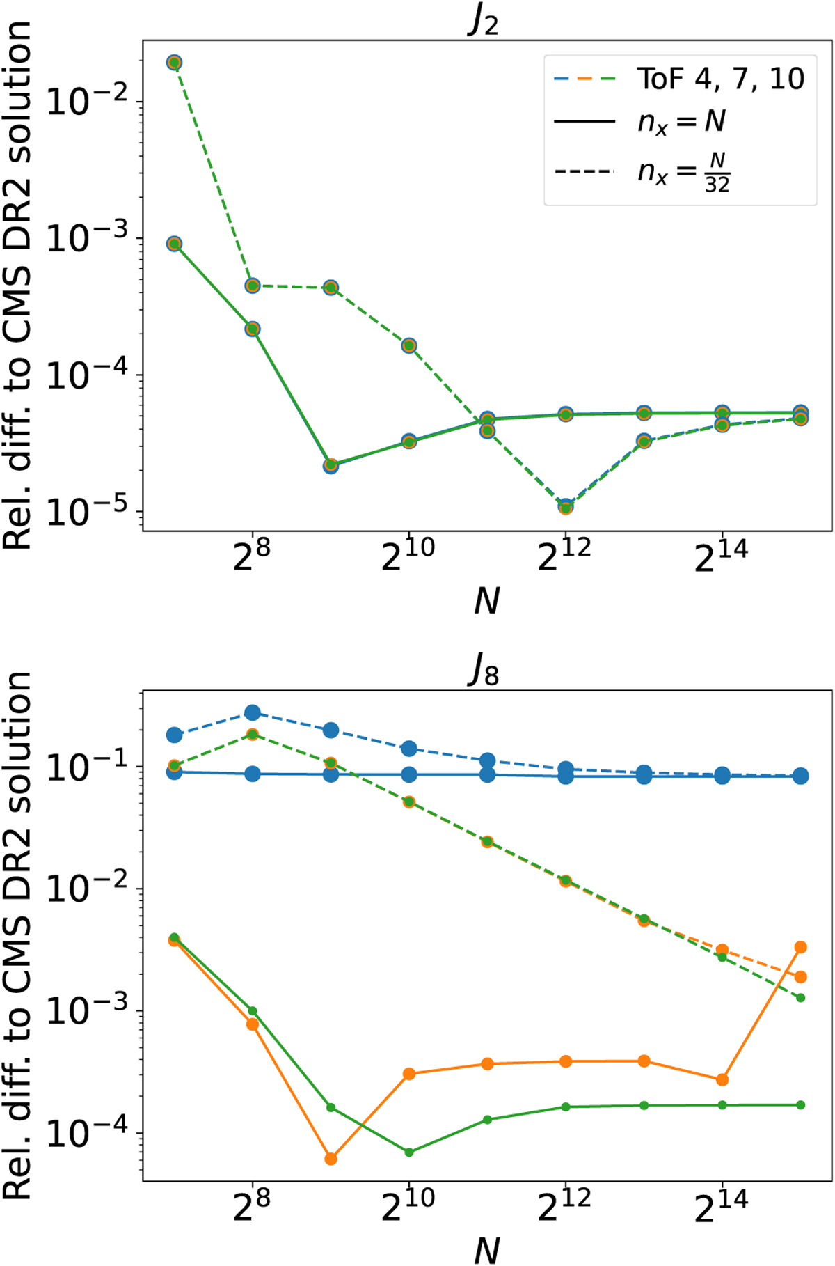
Relative differences to the CMS DR2 solutions by Wisdom & Hubbard (2016) of the gravitational moments J2 (top) and J8 (bottom) compared to our ToF solutions. We depict results for different numbers N of used spheroids. We compare our implementation for different orders of the ToF and show the influence of using spline interpolation with the parameter nx that stands for the number of points that were calculated without interpolation.
Current usage metrics show cumulative count of Article Views (full-text article views including HTML views, PDF and ePub downloads, according to the available data) and Abstracts Views on Vision4Press platform.
Data correspond to usage on the plateform after 2015. The current usage metrics is available 48-96 hours after online publication and is updated daily on week days.
Initial download of the metrics may take a while.