Fig. 5.

Download original image
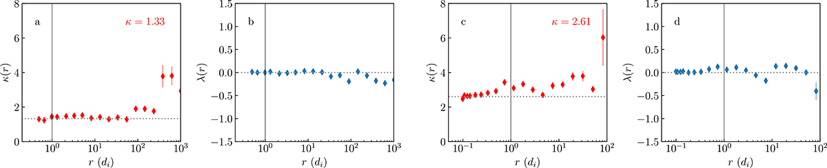
PDF parameters as a function of the scale separation r. a) Trend of the parameter κ for the PSP data sample. The limit value of κ = 1.33 is highlighted by the horizontal line. b) Trend of the parameter λ for the PSP data sample. The value λ = 0 is indicated by the horizontal line. c) Trend of the parameter κ for the C3 data sample. The limit value of κ = 2.61 is highlighted by the horizontal line. d) Trend of the parameter λ for the C3 data sample. The value λ = 0 is indicated by the horizontal line. The vertical lines in all the panels mark the ion inertial length.
Current usage metrics show cumulative count of Article Views (full-text article views including HTML views, PDF and ePub downloads, according to the available data) and Abstracts Views on Vision4Press platform.
Data correspond to usage on the plateform after 2015. The current usage metrics is available 48-96 hours after online publication and is updated daily on week days.
Initial download of the metrics may take a while.