Open Access
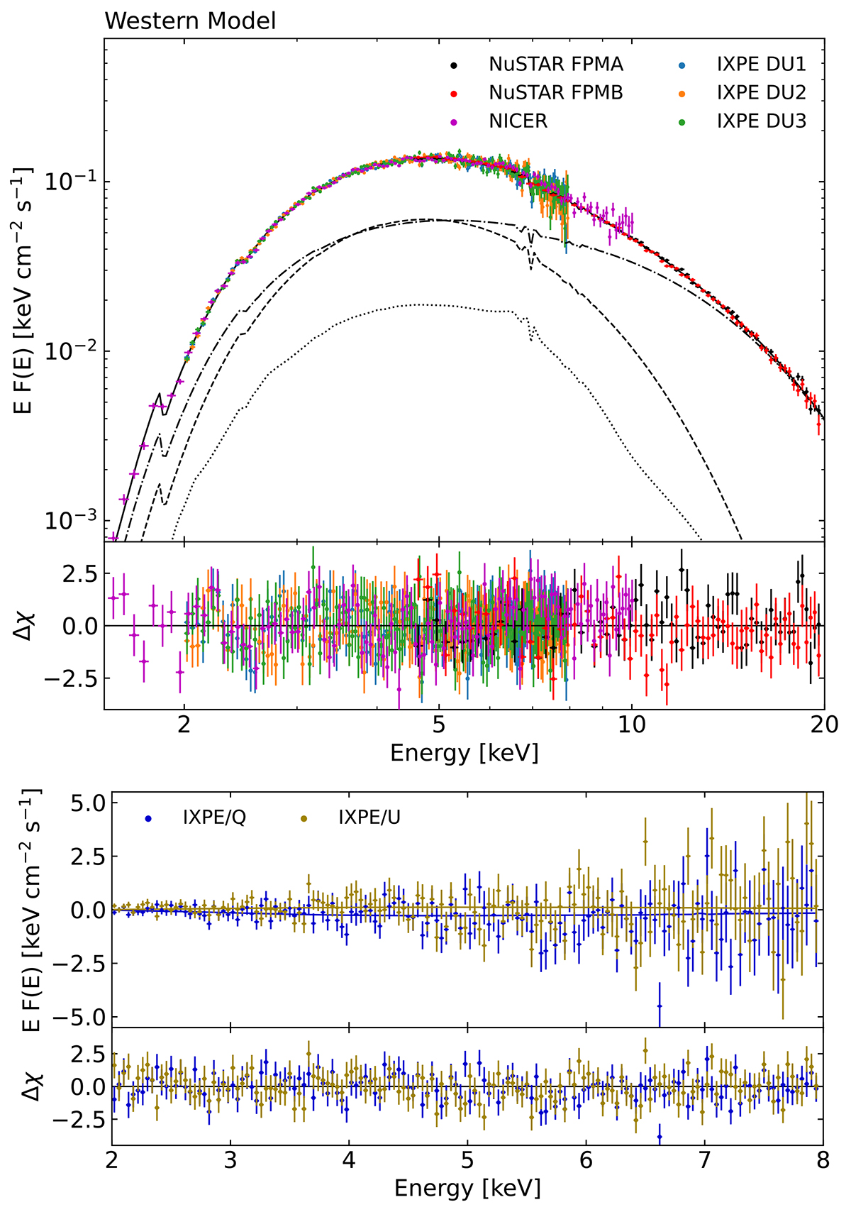
Fig. 4.

Download original image
Deconvolved IXPE (2–8 keV), NuSTAR (4.5–20 keV), and NICER (1.5–10 keV) spectra (top panels) and IXPE Q and U Stokes spectra (bottom panels), with the best-fit Western model and residuals in units of σ. The model includes thcomp*diskbb (dash-dotted lines), bbodyrad (dashed lines), and relxillNS (dotted lines).
Current usage metrics show cumulative count of Article Views (full-text article views including HTML views, PDF and ePub downloads, according to the available data) and Abstracts Views on Vision4Press platform.
Data correspond to usage on the plateform after 2015. The current usage metrics is available 48-96 hours after online publication and is updated daily on week days.
Initial download of the metrics may take a while.