Open Access

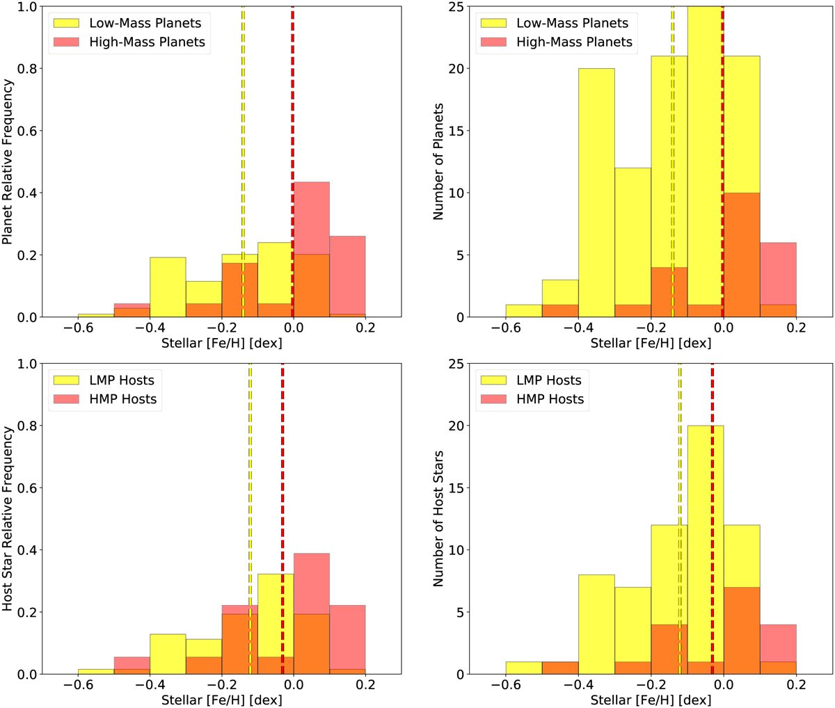
Fig. 10

image

Download original image

Planet relative frequency distributions for the LMP and HMP populations (top-left), absolute number of planets (top-right), host star relative frequency for hosting LMP or HMP (bottom-left), and host star absolute numbers (bottom-right). The dashed lines show the mean value of stellar metallicity for each population.

Current usage metrics show cumulative count of Article Views (full-text article views including HTML views, PDF and ePub downloads, according to the available data) and Abstracts Views on Vision4Press platform.

Data correspond to usage on the plateform after 2015. The current usage metrics is available 48-96 hours after online publication and is updated daily on week days.

Initial download of the metrics may take a while.