Open Access

Fig. 12

image

Download original image

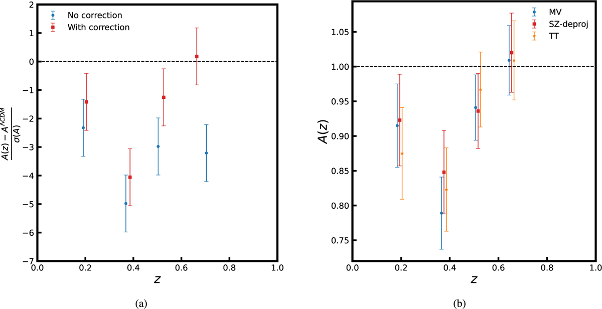
Effect of the redshift bin mismatch on the amplitude of cross-correlation. (a) Deviation in the amplitude of cross correlation estimated from the DESI-LIS galaxy catalogue with and without leakage correction from its true value (A = 1) in terms of the standard deviation of the amplitude. (b) Comparison of redshift-bin-mismatch-corrected amplitudes from cross correlation with MV, SZ-deproj, and TT CMB lensing convergence maps.

Current usage metrics show cumulative count of Article Views (full-text article views including HTML views, PDF and ePub downloads, according to the available data) and Abstracts Views on Vision4Press platform.

Data correspond to usage on the plateform after 2015. The current usage metrics is available 48-96 hours after online publication and is updated daily on week days.

Initial download of the metrics may take a while.