Fig. 1.

Download original image
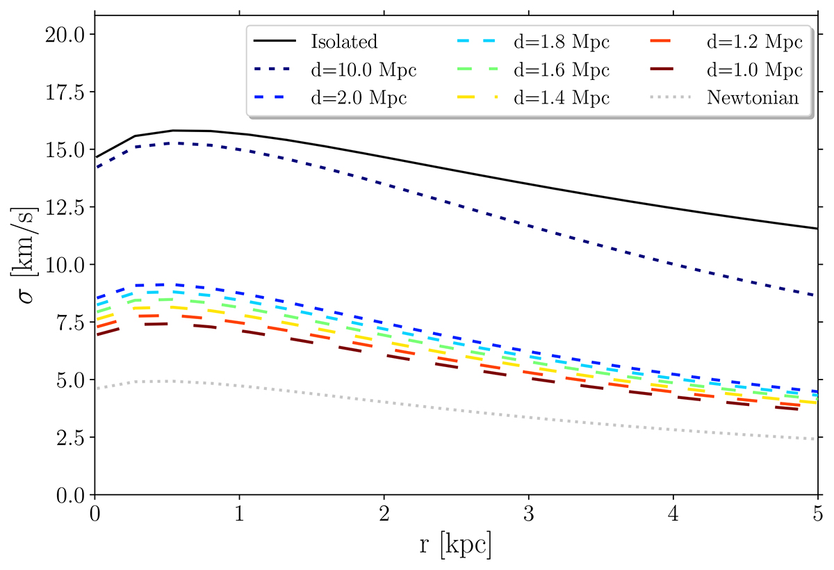
Initial equilibrium velocity dispersion profile of the simulated UDG, computed by solving Jeans equation and taking into account the external field at the launch radius. For comparison, the solid black line corresponds to MOND in isolation, while the dotted light gray line shows the Newtonian prediction. The EFE decreases the velocity dispersion from the isolated MOND prediction, making the profile closer to the Newtonian prediction.
Current usage metrics show cumulative count of Article Views (full-text article views including HTML views, PDF and ePub downloads, according to the available data) and Abstracts Views on Vision4Press platform.
Data correspond to usage on the plateform after 2015. The current usage metrics is available 48-96 hours after online publication and is updated daily on week days.
Initial download of the metrics may take a while.