Fig. 2

Download original image
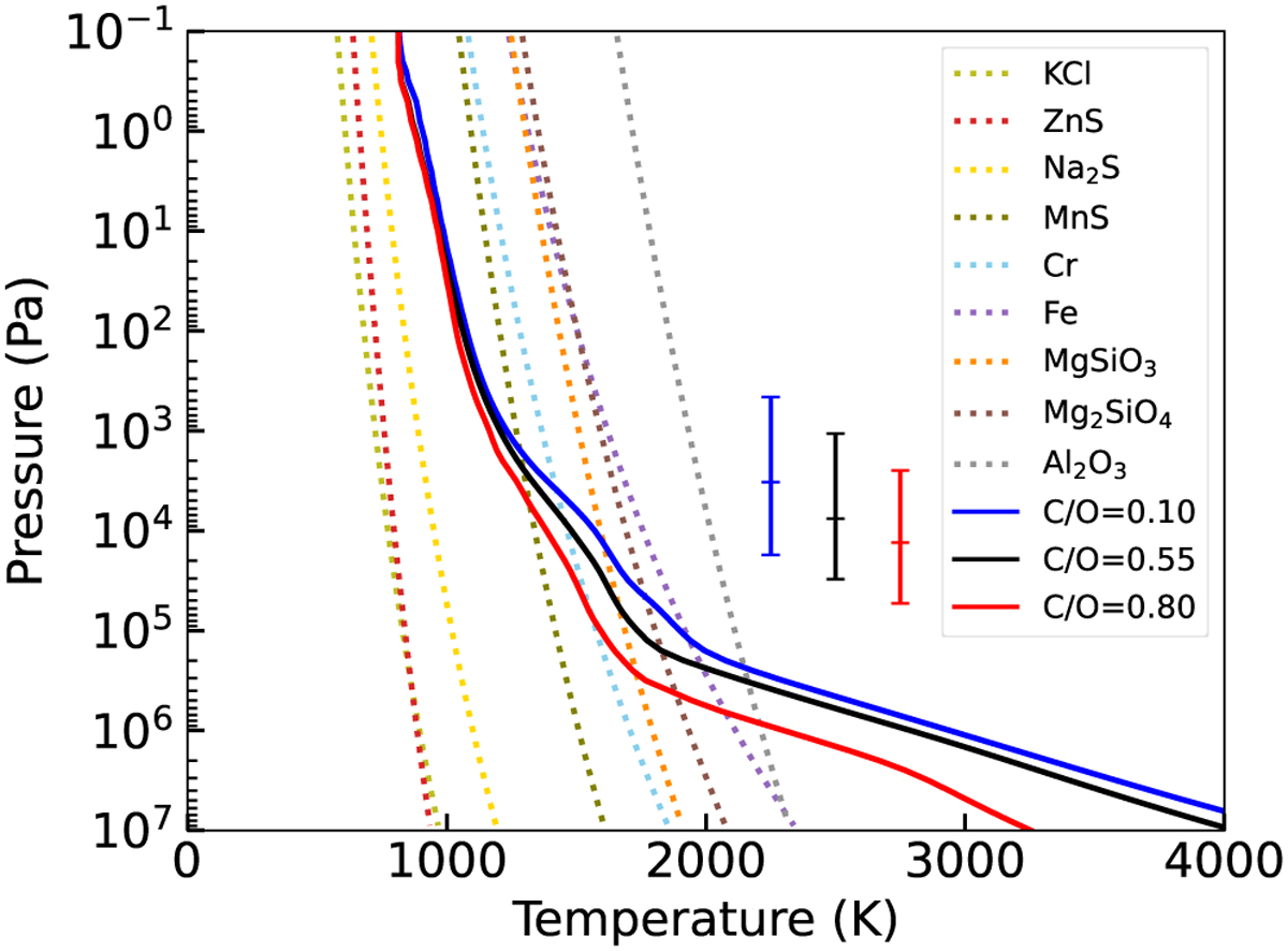
Temperature profile and condensation curves obtained from our self-consistent model, for 3 times the solar metallicity. The blue, black, and red errorbars represent the pressure range concentrating 68% of the transmission contribution of our petitRADTRANS simulated data (see Sect. 3.2.2) over the data wavelength range, for a C/O ratio of 0.1, 0.55, and 0.8, respectively.
Current usage metrics show cumulative count of Article Views (full-text article views including HTML views, PDF and ePub downloads, according to the available data) and Abstracts Views on Vision4Press platform.
Data correspond to usage on the plateform after 2015. The current usage metrics is available 48-96 hours after online publication and is updated daily on week days.
Initial download of the metrics may take a while.