Open Access

Fig. 8.

image

Download original image

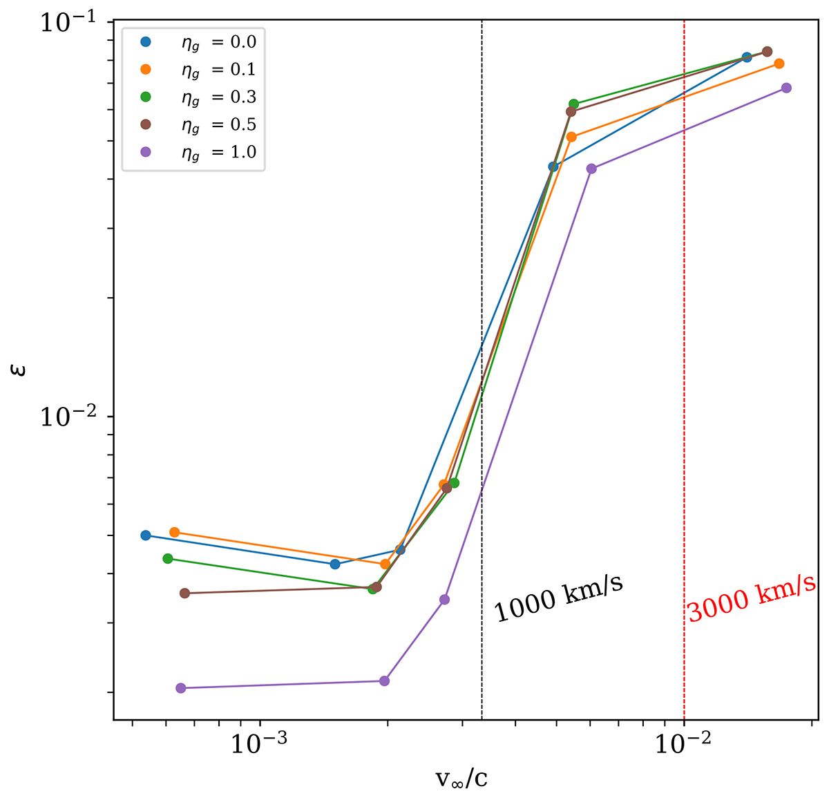
BH formation efficiency of the clusters, defined as the mass of the most massive BH divided by the total BH mass of the cluster, as a function of the ratio between the rms velocity at the time of the core collapse and the speed of light (c) employed in the simulations. Different colors are used to denote varying external potentials, ηg. The vertical lines mark velocity ratios assuming the real value of the speed of light for clusters with an rms velocity of 1000 km/s and 3000 km/s.

Current usage metrics show cumulative count of Article Views (full-text article views including HTML views, PDF and ePub downloads, according to the available data) and Abstracts Views on Vision4Press platform.

Data correspond to usage on the plateform after 2015. The current usage metrics is available 48-96 hours after online publication and is updated daily on week days.

Initial download of the metrics may take a while.