Fig. 10

Download original image
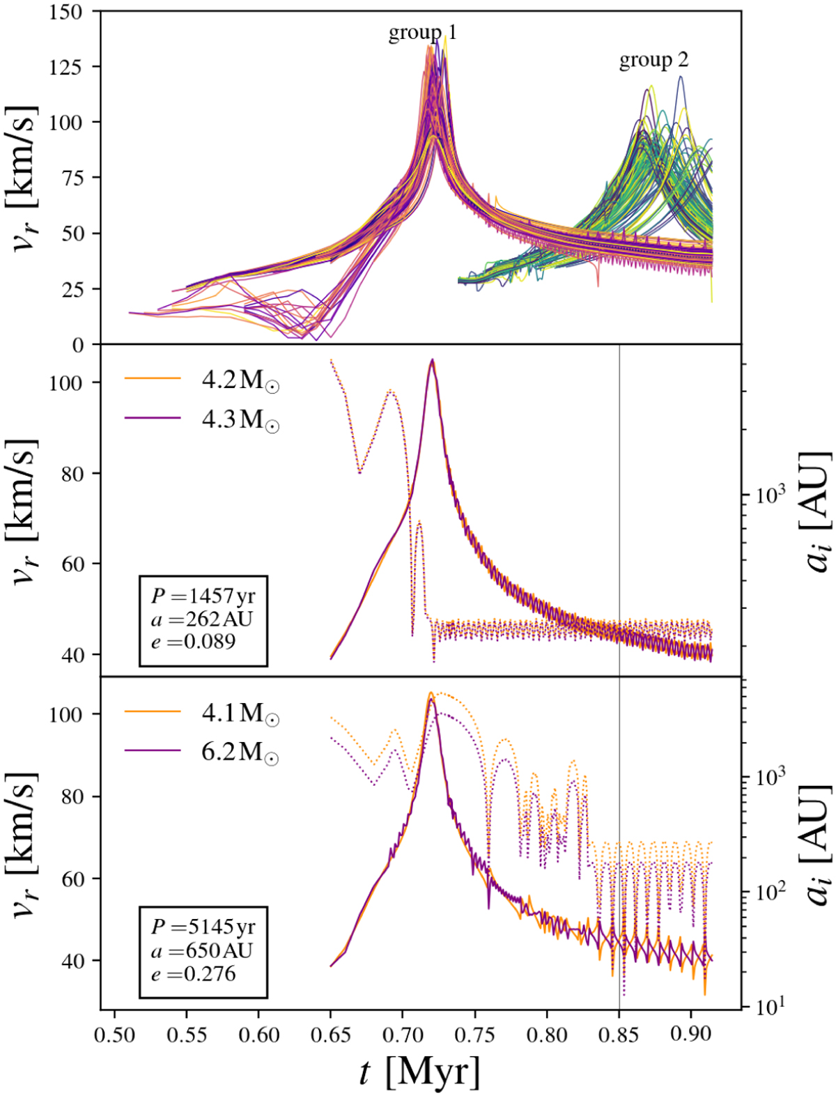
Radial velocity, vr, relative to the center of mass over time and the orbital properties of the SCES runaway singles and binaries. Top: time evolution of all the runaways in groups 1 and 2. Middle and bottom: velocity (solid) and semimajor axes, ai (dotted) of each member in the two runaway binary stars formed in our simulation. Both are from group 1. The dark lines are the primary stars, and the light lines are the companion stars. Orbital properties for each system are listed in the corresponding panel, calculated for the stable orbits after t = 0.85 Myr, which is indicated by the vertical black line.
Current usage metrics show cumulative count of Article Views (full-text article views including HTML views, PDF and ePub downloads, according to the available data) and Abstracts Views on Vision4Press platform.
Data correspond to usage on the plateform after 2015. The current usage metrics is available 48-96 hours after online publication and is updated daily on week days.
Initial download of the metrics may take a while.