Open Access
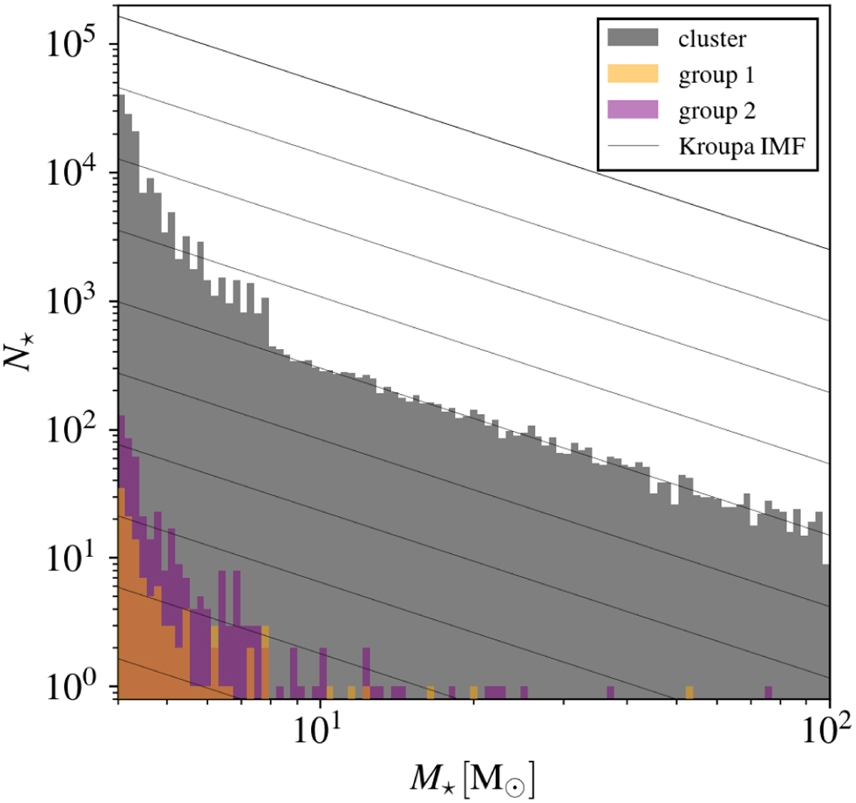
Fig. 4

Download original image
Particle mass distributions of the entire star cluster (gray) and the runaway groups along with the Kroupa IMF power law. Note that at the low-mass end (≤8 M⊙), the particle masses are skewed higher than the sampled IMF due to the agglomeration of stars below <4 M⊙.
Current usage metrics show cumulative count of Article Views (full-text article views including HTML views, PDF and ePub downloads, according to the available data) and Abstracts Views on Vision4Press platform.
Data correspond to usage on the plateform after 2015. The current usage metrics is available 48-96 hours after online publication and is updated daily on week days.
Initial download of the metrics may take a while.