Fig. 1.

Download original image
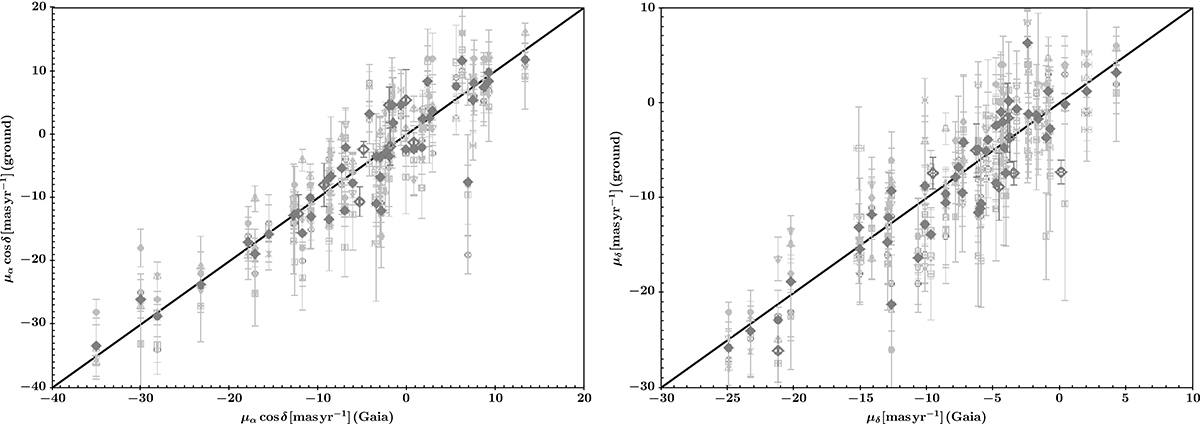
Proper motion measurements in right ascension (left panel) and declination (right panel). Gaia proper motions from Early Data Release 3 (EDR3, Gaia Collaboration 2021) are plotted against ground-based measurements from SDSS DR9 (Ahn et al. 2012, open circles), the PPMXL catalogue of positions and proper motions on the ICRS (Roeser et al. 2010, open squares), the Whole-Sky USNO-B1.0 Catalogue (Monet et al. 2003, open diamonds), the Absolute Proper motions Outside the Plane catalogue (APOP, Qi et al. 2015, open downward triangles), Gaia-PS1-SDSS (GPS1, Tian et al. 2017, open upward triangles), and Hot Stuff for One Year (HSOY, Altmann et al. 2017, crosses). PMs from the Fourth U.S. Naval Observatory CCD Astrograph Catalogue (UCAC4, Zacharias et al. 2013) were also used, but they are not plotted here, because only a few stars have measurements in this catalogue. The averages of the ground-based values from those surveys are plotted as filled diamonds. The ground-based measurements by Tillich et al. (2011) and Ziegerer et al. (2017) are plotted as open dark grey diamonds.
Current usage metrics show cumulative count of Article Views (full-text article views including HTML views, PDF and ePub downloads, according to the available data) and Abstracts Views on Vision4Press platform.
Data correspond to usage on the plateform after 2015. The current usage metrics is available 48-96 hours after online publication and is updated daily on week days.
Initial download of the metrics may take a while.