Open Access

Fig. 2

image

Download original image

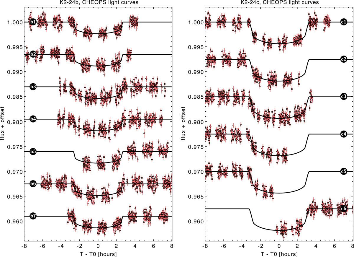
Light curves of K2-24b (left panel) and K2-24c (right panel) from CHEOPS analyzed for the present work, after detrending. For each light curve, the corresponding label matches the ID given in Table A.1. Arbitrary vertical offsets of 0.065 and 0.0075 were added, respectively, to both sets for visualization purposes.

Current usage metrics show cumulative count of Article Views (full-text article views including HTML views, PDF and ePub downloads, according to the available data) and Abstracts Views on Vision4Press platform.

Data correspond to usage on the plateform after 2015. The current usage metrics is available 48-96 hours after online publication and is updated daily on week days.

Initial download of the metrics may take a while.