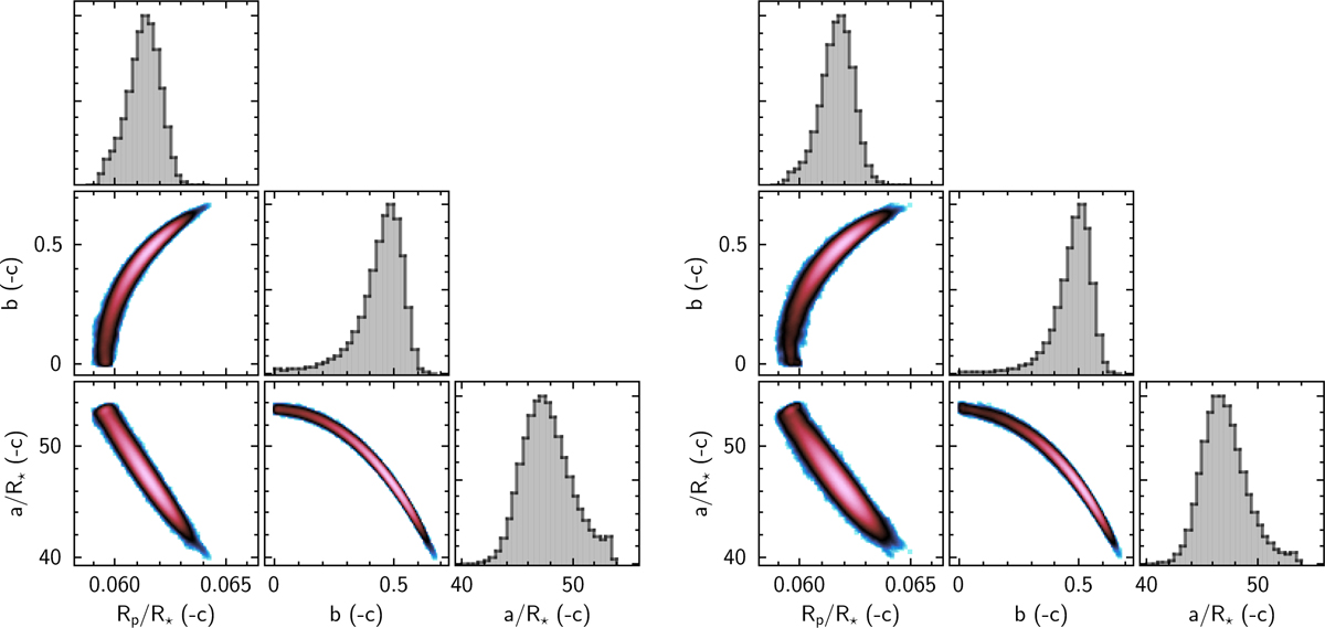
Fig. A.2

Download original image
Corner plot of the final MCMC distribution for the transit parameters of planet K2-24c (radius ratio Rp/R*, impact parameter b, scaled semi-major axis a/R*) of our LD-prior (left panel) and LD-fit (right panel) photometric modeling described in Section 3. The best-fit values are tabulated in Table 2, second and fourth column, respectively.
Current usage metrics show cumulative count of Article Views (full-text article views including HTML views, PDF and ePub downloads, according to the available data) and Abstracts Views on Vision4Press platform.
Data correspond to usage on the plateform after 2015. The current usage metrics is available 48-96 hours after online publication and is updated daily on week days.
Initial download of the metrics may take a while.