Fig. 2

Download original image
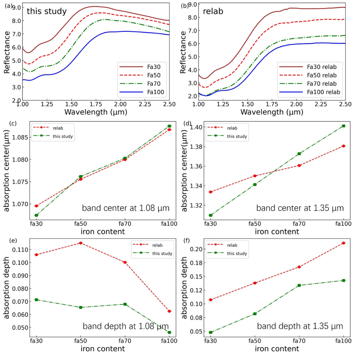
Unweathered olivine spectra. (a) Spectra of the samples obtained in this study. (b) Spectra from the RELAB spectral library. (c) The band centers and (e) band depths at 1.08 µm. (d) The band centers and (f) band depths at 1.35 µm. The spectral IDs for these spectra are DD-MDD-039 (Fa30), DD-MDD-041 (Fa50), DD-MDD-043 (Fa70), and DD-MDD-046 (Fa100). The particle size of the RELAB sample is 0–45 µm.
Current usage metrics show cumulative count of Article Views (full-text article views including HTML views, PDF and ePub downloads, according to the available data) and Abstracts Views on Vision4Press platform.
Data correspond to usage on the plateform after 2015. The current usage metrics is available 48-96 hours after online publication and is updated daily on week days.
Initial download of the metrics may take a while.