Open Access

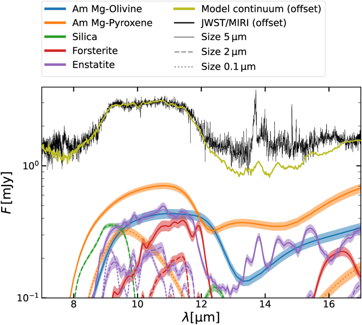
Fig. 10

image

Download original image

Spectrum of the different dust compositions (colour) and sizes (line style) compared to the total dust continuum (olive; star, rim, midplane, and surface layer) and the JWST/MIRI spectrum of Sz 28 (black). Both are offset by −9 mJy. The error tubes denote the 16th and 84th percentile of the dust flux from the posterior of models.

Current usage metrics show cumulative count of Article Views (full-text article views including HTML views, PDF and ePub downloads, according to the available data) and Abstracts Views on Vision4Press platform.

Data correspond to usage on the plateform after 2015. The current usage metrics is available 48-96 hours after online publication and is updated daily on week days.

Initial download of the metrics may take a while.