Open Access

Fig. 7

image

Download original image

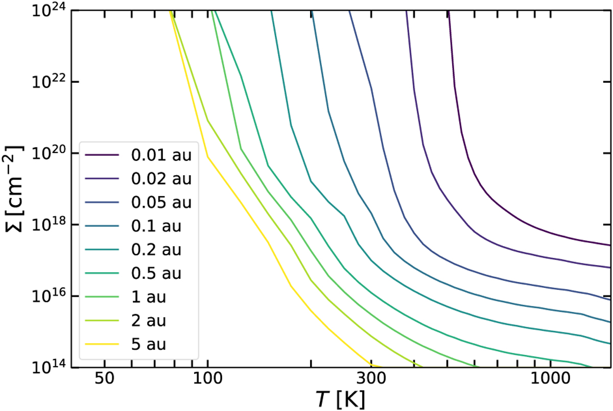
Column densities of water for given temperatures (horizontal axis) and emitting radii (colour) that result in peak fluxes of 3σ of the noise of the JWST/MIRI observation of Sz 28.

Current usage metrics show cumulative count of Article Views (full-text article views including HTML views, PDF and ePub downloads, according to the available data) and Abstracts Views on Vision4Press platform.

Data correspond to usage on the plateform after 2015. The current usage metrics is available 48-96 hours after online publication and is updated daily on week days.

Initial download of the metrics may take a while.