Open Access

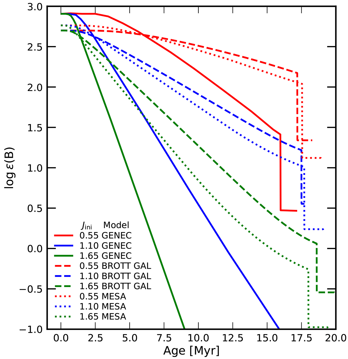
Fig. 1.

image

Download original image

Surface boron abundance as a function of time for 12 M models with different initial angular momenta (in 1052 erg s) from different sets of stellar models. GENEC models are from Frischknecht et al. (2010), BROTT GAL models from Brott et al. (2011a), and MESA models from this paper.

Current usage metrics show cumulative count of Article Views (full-text article views including HTML views, PDF and ePub downloads, according to the available data) and Abstracts Views on Vision4Press platform.

Data correspond to usage on the plateform after 2015. The current usage metrics is available 48-96 hours after online publication and is updated daily on week days.

Initial download of the metrics may take a while.