Open Access

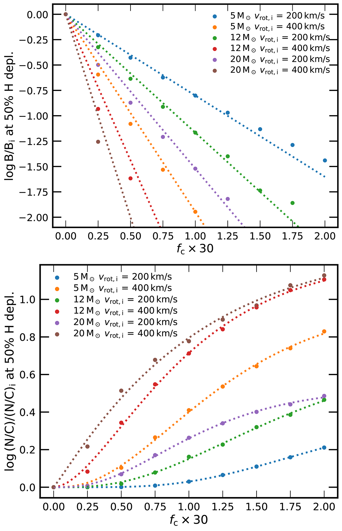
Fig. 10.

image

Download original image

Boron depletion factor (top) and nitrogen enhancement factor (bottom) at 50% central hydrogen depletion for six evolutionary models (filled circles; see legend), as a function of the adopted rotational mixing efficiency parameter fc. The dotted lines show our analytic fits for the boron depletion and the nitrogen enhancement factors (see text).

Current usage metrics show cumulative count of Article Views (full-text article views including HTML views, PDF and ePub downloads, according to the available data) and Abstracts Views on Vision4Press platform.

Data correspond to usage on the plateform after 2015. The current usage metrics is available 48-96 hours after online publication and is updated daily on week days.

Initial download of the metrics may take a while.