Open Access

Fig. 12.

image

Download original image

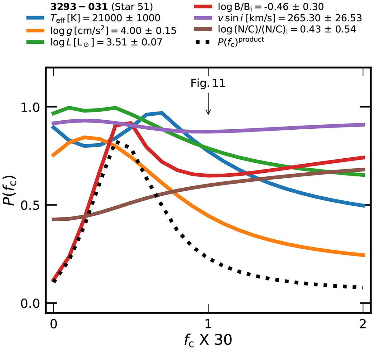
Distributions of P(fc) for each observable (solid lines) and the distribution of P(fc)product (dotted line) for Star 51. The arrow marks the fc value corresponding to Fig. 11.

Current usage metrics show cumulative count of Article Views (full-text article views including HTML views, PDF and ePub downloads, according to the available data) and Abstracts Views on Vision4Press platform.

Data correspond to usage on the plateform after 2015. The current usage metrics is available 48-96 hours after online publication and is updated daily on week days.

Initial download of the metrics may take a while.