Open Access

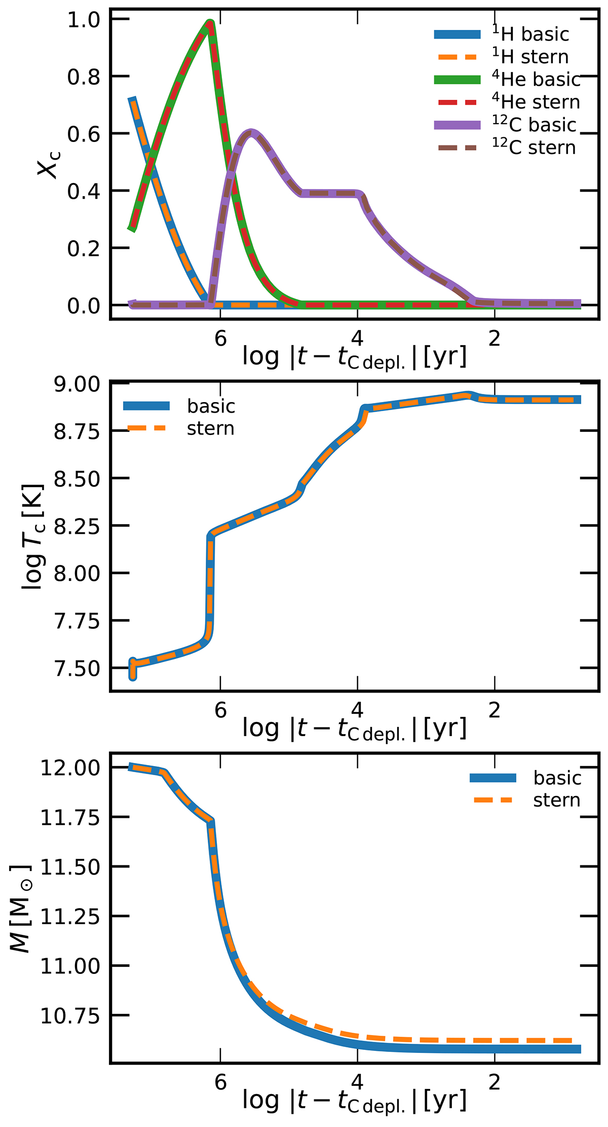
Fig. B.1.

image

Download original image

Evolution of physical quantities in 12 M single star models computed with basic network (solid lines) and STERN network (dashed lines). The evolution of central mass fractions of hydrogen, helium, and carbon (top), central temperature (middle), and total mass (bottom) is shown as a function of remaining time until the core carbon depletion.

Current usage metrics show cumulative count of Article Views (full-text article views including HTML views, PDF and ePub downloads, according to the available data) and Abstracts Views on Vision4Press platform.

Data correspond to usage on the plateform after 2015. The current usage metrics is available 48-96 hours after online publication and is updated daily on week days.

Initial download of the metrics may take a while.