Open Access

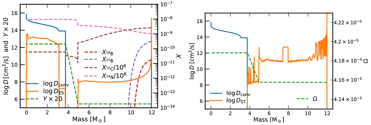
Fig. 2.

image

Download original image

Internal profiles for a 12 M star with fc = 0.033, fμ = 0.1, and fν = 1.0 and an initial velocity of 200 km s−1 at 50% central hydrogen depletion. Left: Diffusion coefficients for chemical mixing and the helium abundance (left y-axis) and abundances of both boron isotopes, carbon, and nitrogen (right y-axis). The solid lines indicate diffusion coefficients, while the dashed lines indicate chemical abundances. Helium mass fraction Y is multiplied by 20 for better visibility. Right: Diffusion coefficients for angular momentum transport (solid lines) and angular velocity (dashed line).

Current usage metrics show cumulative count of Article Views (full-text article views including HTML views, PDF and ePub downloads, according to the available data) and Abstracts Views on Vision4Press platform.

Data correspond to usage on the plateform after 2015. The current usage metrics is available 48-96 hours after online publication and is updated daily on week days.

Initial download of the metrics may take a while.