Open Access

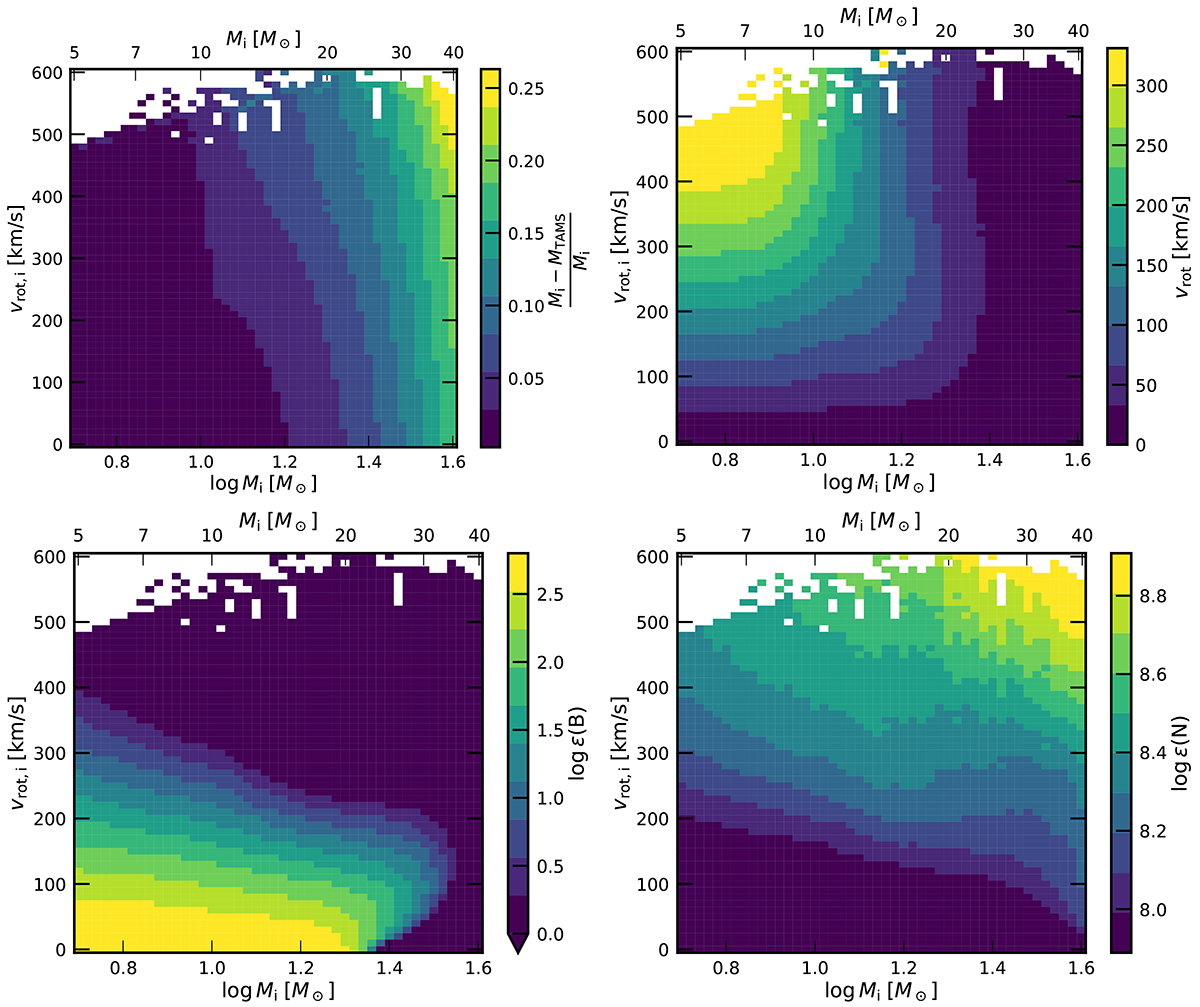
Fig. 4.

image

Download original image

Fraction of the initial mass lost during the main sequence phase (top left), rotational velocity (top right), surface boron abundance (bottom left), and surface nitrogen abundance (bottom right) at terminal-age main sequence for all models in our single star model grid. See Fig. 5.17 of Marchant (2017) for the Large Magellanic Cloud metallicity (LMC) counterpart for the surface nitrogen abundance.

Current usage metrics show cumulative count of Article Views (full-text article views including HTML views, PDF and ePub downloads, according to the available data) and Abstracts Views on Vision4Press platform.

Data correspond to usage on the plateform after 2015. The current usage metrics is available 48-96 hours after online publication and is updated daily on week days.

Initial download of the metrics may take a while.