Open Access

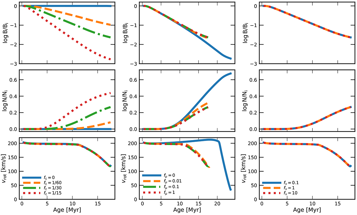
Fig. 9.

image

Download original image

Evolution of surface abundances of boron and nitrogen and rotational velocity in a 12 M stellar model with vrot, i = 200 km s−1 during the main sequence evolution. Three panels show the effects of varying rotational mixing efficiency fc (left), degrees of inhibition by chemical gradient fμ (middle), and degrees of angular momentum transport fν (right). The reference values are fc = 0.033, fμ = 0.1, and fν = 1.0, and one of the three is changed in the presented models.

Current usage metrics show cumulative count of Article Views (full-text article views including HTML views, PDF and ePub downloads, according to the available data) and Abstracts Views on Vision4Press platform.

Data correspond to usage on the plateform after 2015. The current usage metrics is available 48-96 hours after online publication and is updated daily on week days.

Initial download of the metrics may take a while.