Fig. 9

Download original image
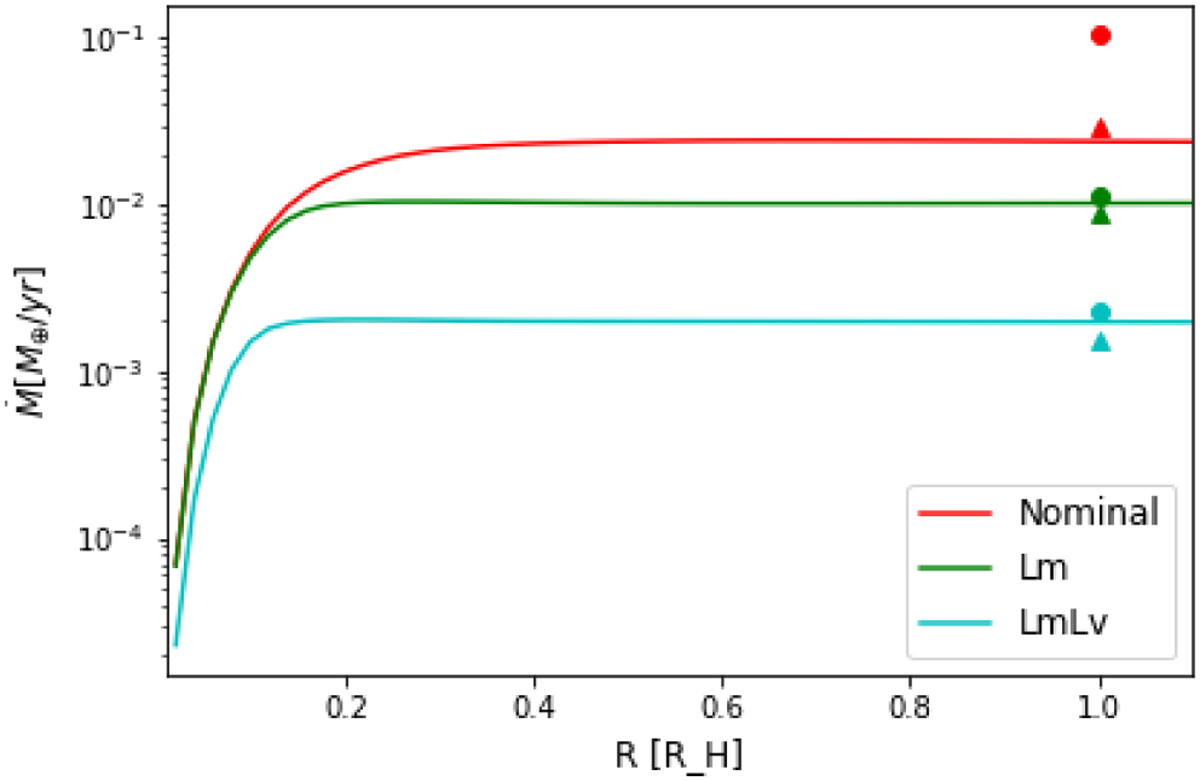
Accretion rate as a function of the distance to the planet in the Hill sphere computed interpolating the time series of the mass contained in a sphere of radius R over 9 planet’s orbital periods (see text). For each case, we report the rate of inflow (circles) and the accretion rate on the Hill sphere (triangle), as computed on a snapshot at five orbital periods (see Table 3).
Current usage metrics show cumulative count of Article Views (full-text article views including HTML views, PDF and ePub downloads, according to the available data) and Abstracts Views on Vision4Press platform.
Data correspond to usage on the plateform after 2015. The current usage metrics is available 48-96 hours after online publication and is updated daily on week days.
Initial download of the metrics may take a while.