Open Access

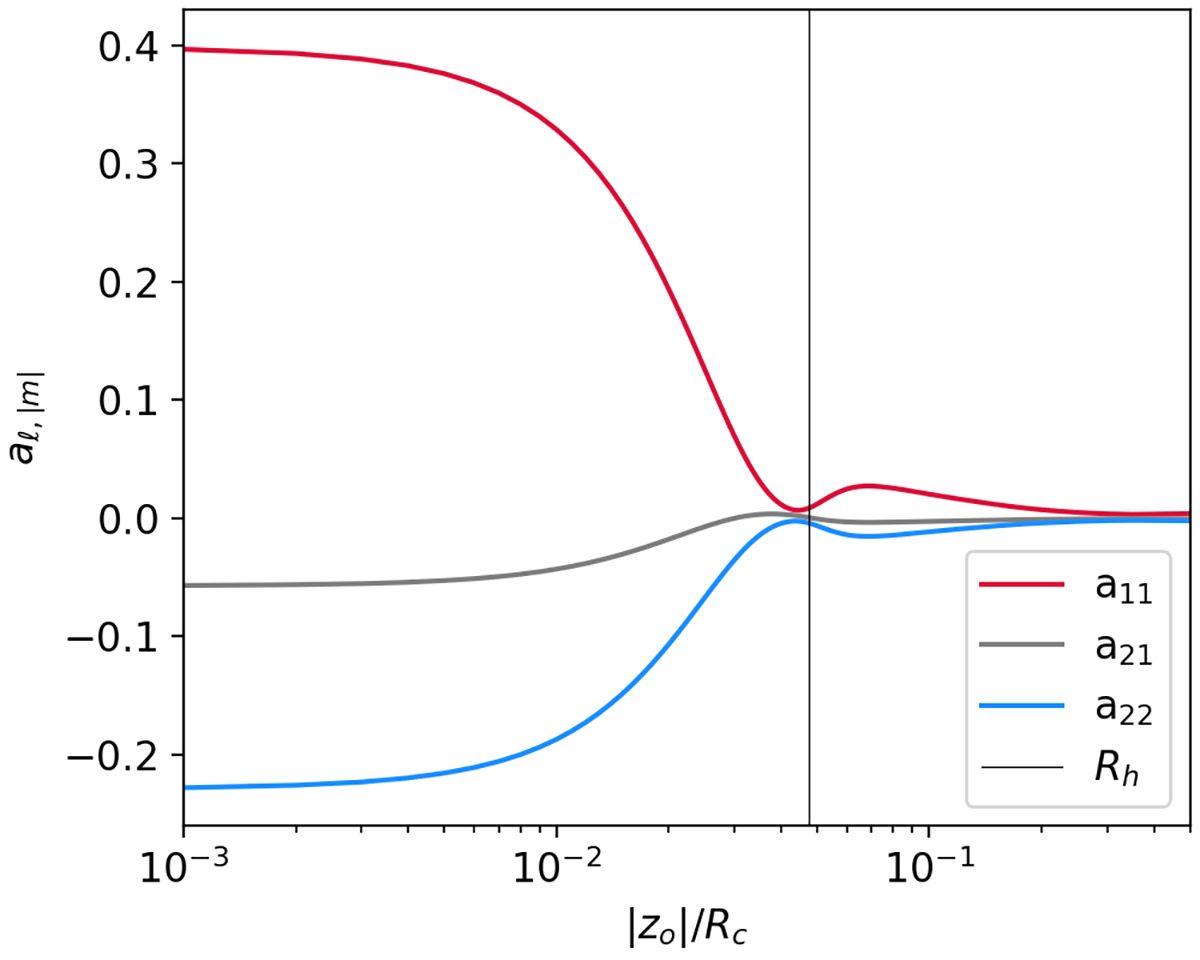
Fig. 5.

image

Download original image

Asymmetry parameters a, |m| depending on the offset of a magnetic field of type (c) in Fig. 1. The offset zo of the field is given relative to the radiative zone radius. The black dashed line indicates the location of the H-shell radius Rh.

Current usage metrics show cumulative count of Article Views (full-text article views including HTML views, PDF and ePub downloads, according to the available data) and Abstracts Views on Vision4Press platform.

Data correspond to usage on the plateform after 2015. The current usage metrics is available 48-96 hours after online publication and is updated daily on week days.

Initial download of the metrics may take a while.