Open Access

Fig. 8.

image

Download original image

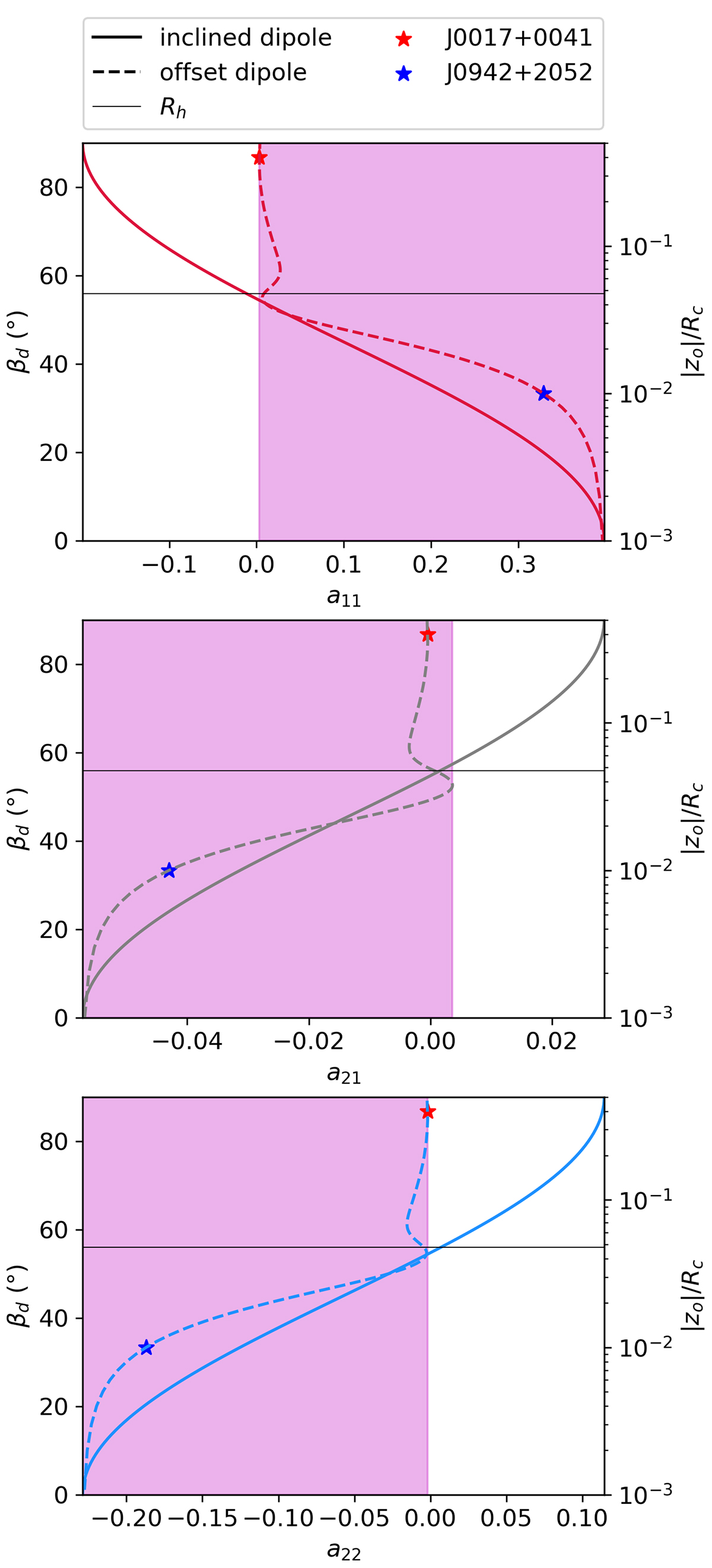
Asymmetry parameters a, |m| depending on the inclination angle of the field β in case (a) or on the offset of a magnetic field in the case (c) in Fig. 1. The offset zo of the field is given relative to the radiative zone radius. The pink region indicates, on each panel, the domain for which both an inclined dipole and an offset dipole can yield to the same asymmetry parameter. The blue and red stars show the minimum and maximum offsets measured from the combination of studies by Vennes et al. (2017), Hardy et al. (2023a,b), Hollands et al. (2023). J0942+2052 has an offset of −0.01 (Hardy et al. 2023b) and J0017+004 of 0.40 (Hardy et al. 2023a).

Current usage metrics show cumulative count of Article Views (full-text article views including HTML views, PDF and ePub downloads, according to the available data) and Abstracts Views on Vision4Press platform.

Data correspond to usage on the plateform after 2015. The current usage metrics is available 48-96 hours after online publication and is updated daily on week days.

Initial download of the metrics may take a while.