Open Access
Fig. 8

Download original image
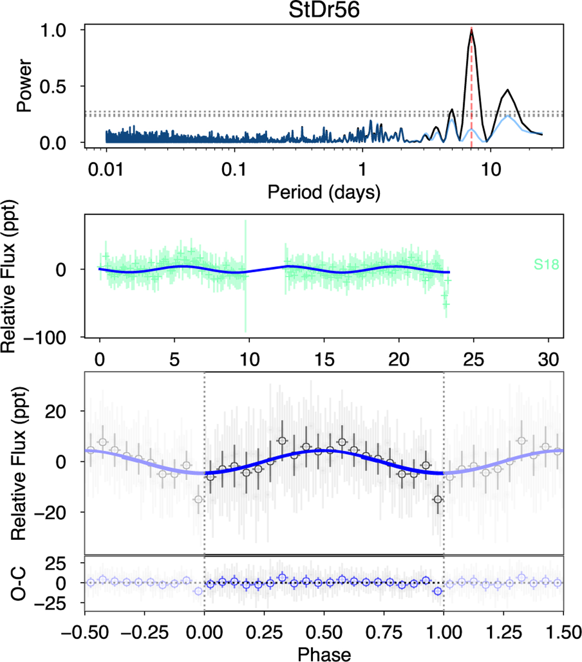
Periodogram (upper panel), time-flux light curve (middle panel), and phase-folded light curve (bottom panel) of StDr 56. Two different bin sizes are shown with black (bin size of 0.01 in phase) and grey (bin size of 0.05 in phase) symbols. The period derived from the fitting can be found in Table 6.
Current usage metrics show cumulative count of Article Views (full-text article views including HTML views, PDF and ePub downloads, according to the available data) and Abstracts Views on Vision4Press platform.
Data correspond to usage on the plateform after 2015. The current usage metrics is available 48-96 hours after online publication and is updated daily on week days.
Initial download of the metrics may take a while.