Fig. 3

Download original image
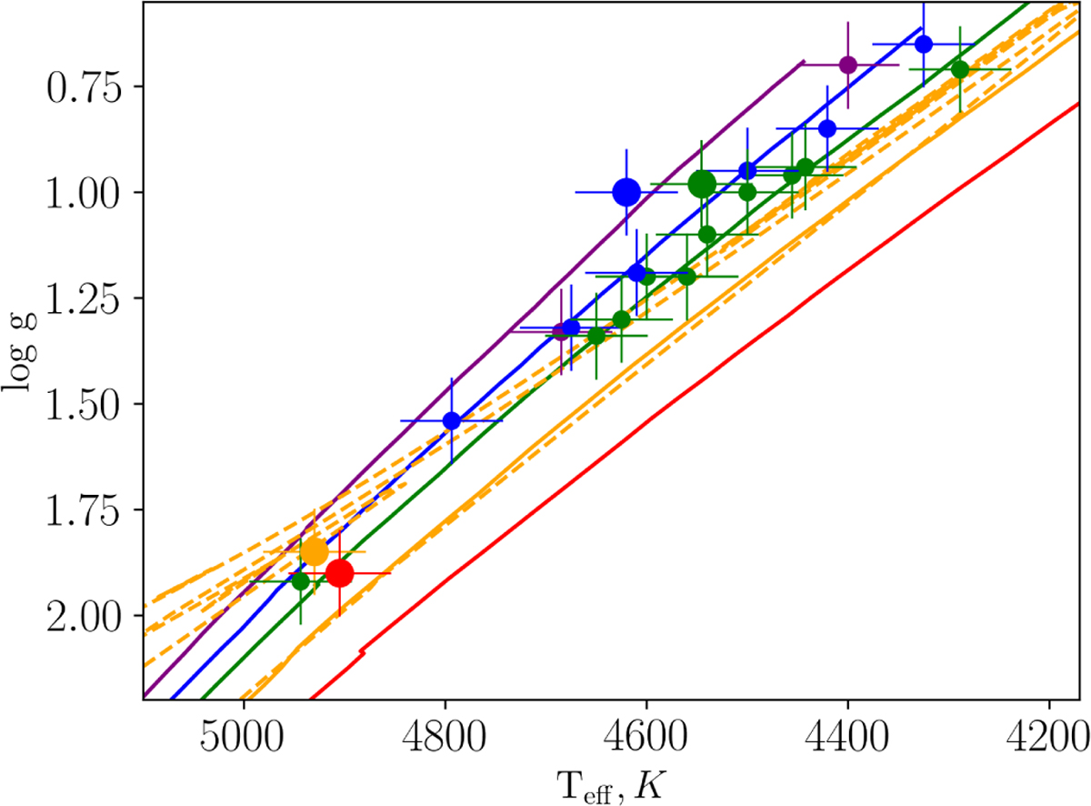
Positions of the sample stars on giant branches of 12 Gyr isochrones (Dotter et al. 2008, solid lines) with [Fe/H] from −2.5 (violet) to −1.5 (red) with a step of 0.25 dex. For comparison, we show the 12 Gyr Dotter (2016) isochrone with [Fe/H] = −1.75, which includes advanced evolutionary stages (dashed orange line). Larger symbols represent stars at more advanced evolutionary stages. The symbols have the same metallicity colour coding as the lines.
Current usage metrics show cumulative count of Article Views (full-text article views including HTML views, PDF and ePub downloads, according to the available data) and Abstracts Views on Vision4Press platform.
Data correspond to usage on the plateform after 2015. The current usage metrics is available 48-96 hours after online publication and is updated daily on week days.
Initial download of the metrics may take a while.