Open Access

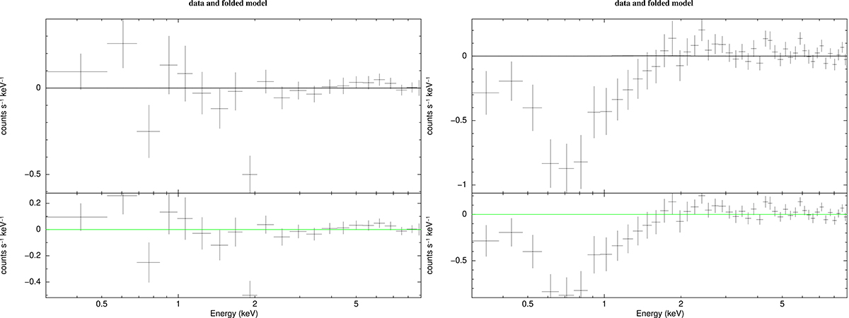
Fig. 2.

image

Download original image

ON-OFF (background subtracted) eROSITA spectra of 0.5°-radius (left panel) and 1°-radius (right panel) regions centred on HESS J1702-420A with the residuals with respect to the best-fit absorbed power law model (bottom sub-panels). The right panel demonstrates the bias of the subtraction procedure due to the changes in nH between ON and OFF regions, see text for details and Fig. 3.

Current usage metrics show cumulative count of Article Views (full-text article views including HTML views, PDF and ePub downloads, according to the available data) and Abstracts Views on Vision4Press platform.

Data correspond to usage on the plateform after 2015. The current usage metrics is available 48-96 hours after online publication and is updated daily on week days.

Initial download of the metrics may take a while.