Fig. 7

Download original image
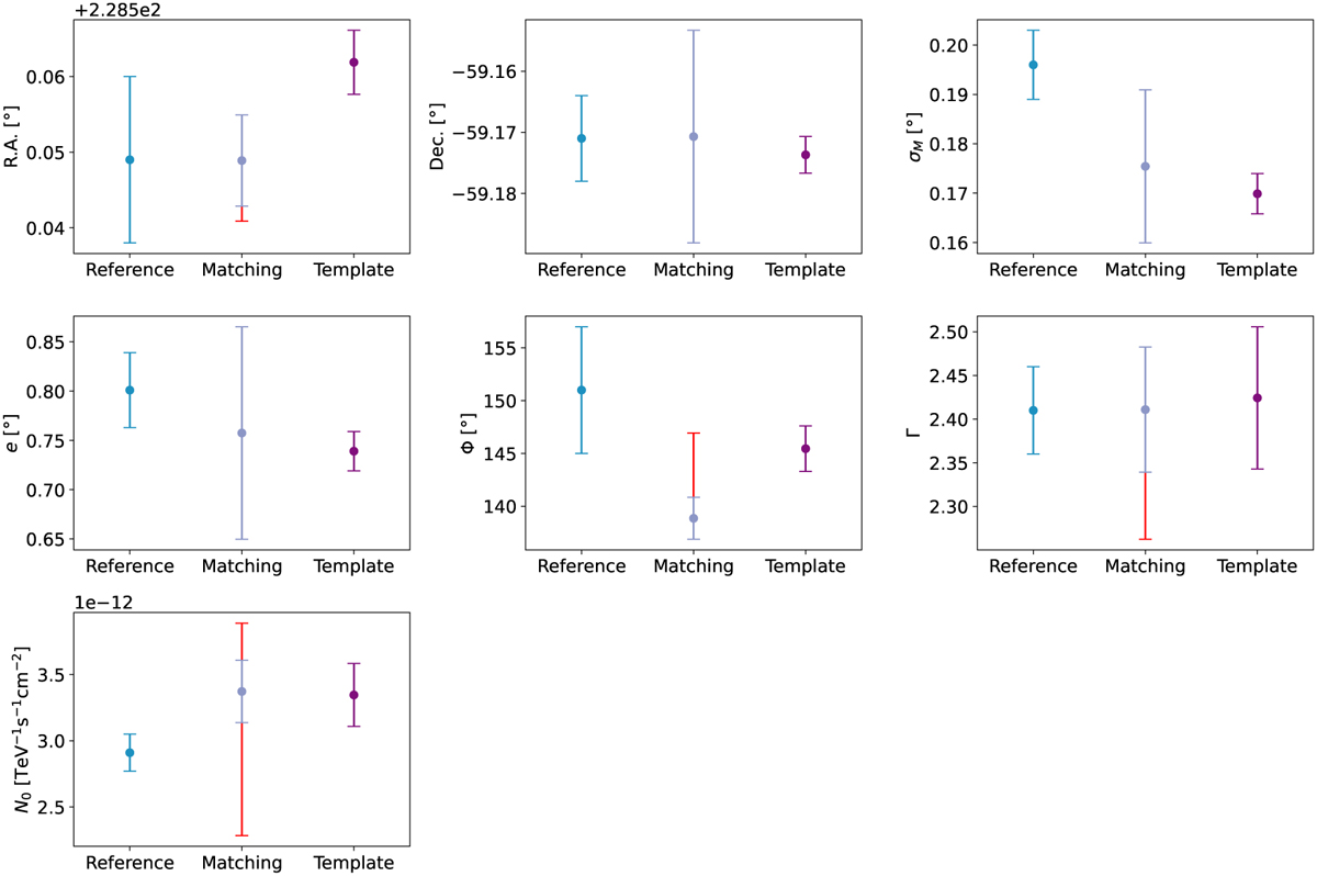
Comparison between the best-fit values for all parameters of the elongated model used to describe the emission from MSH 15–52. The reference values were taken from Mohrmann et al. (2019). Here, ‘matching’ refers to the values derived using the run-matching approach for the background estimation, while ‘template’ refers to the background model template. The systematic uncertainties introduced when using the run-matching approach are indicated in red.
Current usage metrics show cumulative count of Article Views (full-text article views including HTML views, PDF and ePub downloads, according to the available data) and Abstracts Views on Vision4Press platform.
Data correspond to usage on the plateform after 2015. The current usage metrics is available 48-96 hours after online publication and is updated daily on week days.
Initial download of the metrics may take a while.