Fig. 6.

Download original image
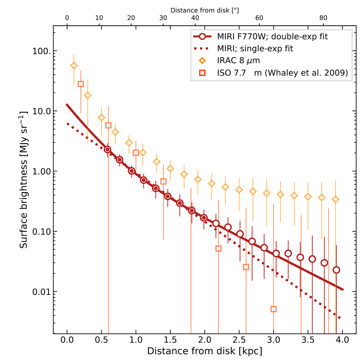
Vertical profiles of the MIRI F770W image at native resolution (red; the MIRI measurements do not extend inward of 0.5 kpc, Fig. 2), Spitzer/IRAC 8 μm (shades of orange), and ISO 7.7 μm (dark-orange), with error bars showing one standard deviation in each bin. The filled symbols mark the ones used for fitting a double-exponential (unless mentioned otherwise) profile to the running medians, which must have S/N ≥ 3. See text for details on the fits.
Current usage metrics show cumulative count of Article Views (full-text article views including HTML views, PDF and ePub downloads, according to the available data) and Abstracts Views on Vision4Press platform.
Data correspond to usage on the plateform after 2015. The current usage metrics is available 48-96 hours after online publication and is updated daily on week days.
Initial download of the metrics may take a while.