Open Access
Fig. 17

Download original image
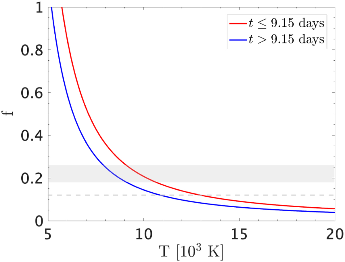
Relation between the filling factor (f) and the temperature (T) (Appendix D), for a spot that reproduces the modulations observed in the TESS Sector 65 light curve. The gray area marks 0.18 ≤ f ≤ 0.26 (Wendeborn et al. 2024a), while the dashed line marks f = 0.12 (Dodin & Lamzin 2012).
Current usage metrics show cumulative count of Article Views (full-text article views including HTML views, PDF and ePub downloads, according to the available data) and Abstracts Views on Vision4Press platform.
Data correspond to usage on the plateform after 2015. The current usage metrics is available 48-96 hours after online publication and is updated daily on week days.
Initial download of the metrics may take a while.