Open Access
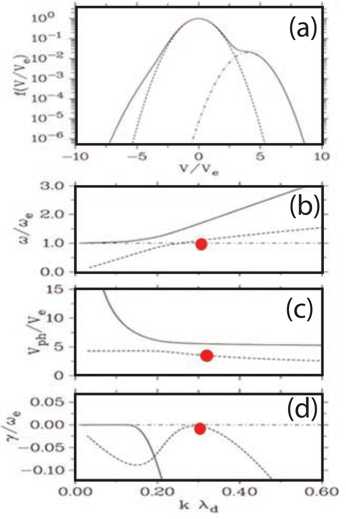
Fig. 7.

Download original image
a) Model electron velocity distribution function (EVDF) of the solar wind consisting of the core, halo, and strahl and the associated dispersion of the Langmuir and electron-acoustic mode. b) Frequency ω/ωe, c) phase velocity Vph/Ve, where Ve is the thermal core velocity, and d) damping rate γ/ωe.
Current usage metrics show cumulative count of Article Views (full-text article views including HTML views, PDF and ePub downloads, according to the available data) and Abstracts Views on Vision4Press platform.
Data correspond to usage on the plateform after 2015. The current usage metrics is available 48-96 hours after online publication and is updated daily on week days.
Initial download of the metrics may take a while.