Open Access
Fig. 5.

Download original image
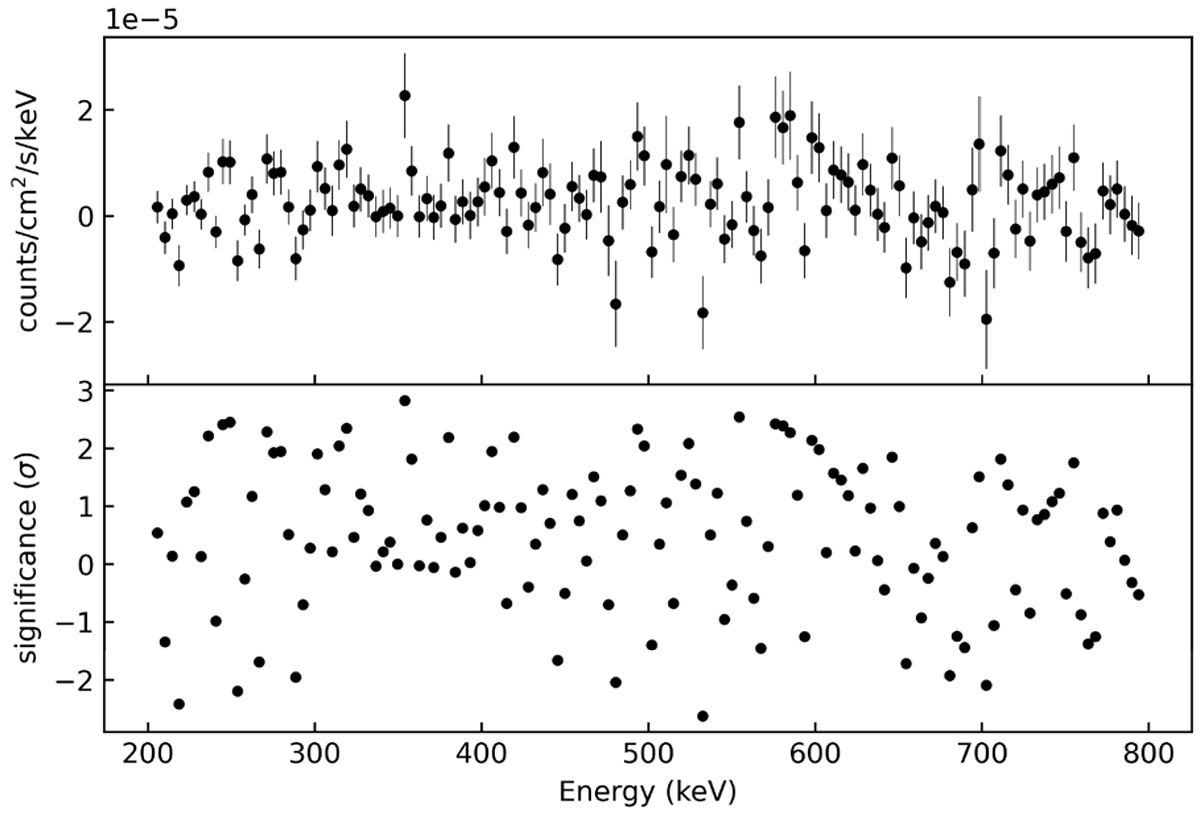
SPI spectrum of A 0535+26, in the energy range 200−800 keV. Upper panel: Background-subtracted spectrum of A 0535+26. Lower panel: Significance of the residuals as a function of energy. Uncertainties in these panels do not include systematic errors.
Current usage metrics show cumulative count of Article Views (full-text article views including HTML views, PDF and ePub downloads, according to the available data) and Abstracts Views on Vision4Press platform.
Data correspond to usage on the plateform after 2015. The current usage metrics is available 48-96 hours after online publication and is updated daily on week days.
Initial download of the metrics may take a while.