Fig. 8.

Download original image
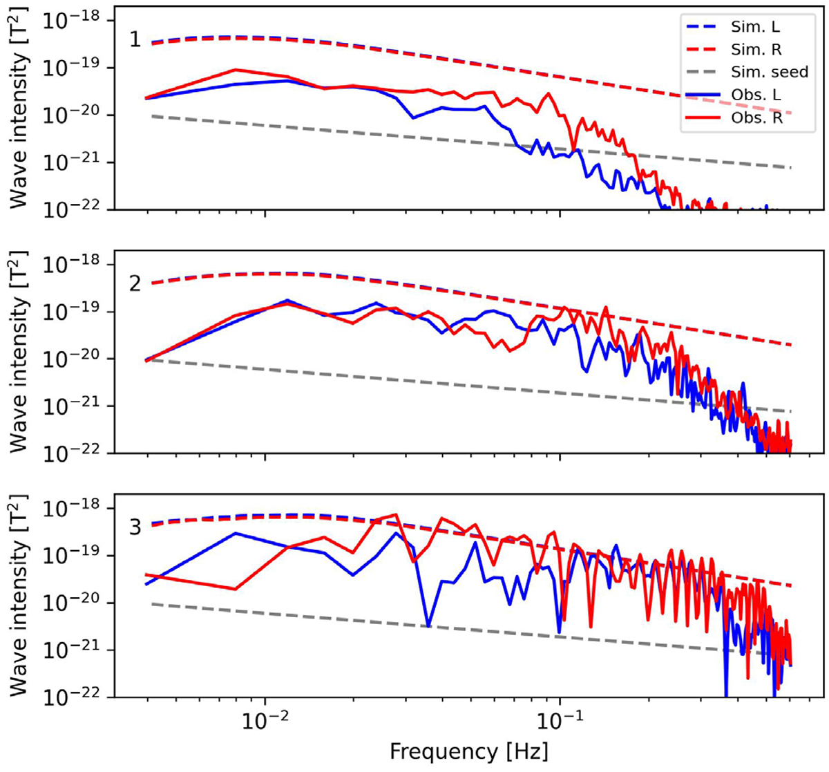
Left- and right-handed polarization mode wave intensity as a function of wave frequency for the two-component injection SOLPACS case (colored dashed lines), the seed wave population of SOLPACS (gray dashed line), and the fast Fourier transform (FFT) wave spectra of the observations made by Solar Orbiter/MAG (solid colored lines). The wave intensity in plots 1–3 correspond to the mean over the similarly indexed boxes in Fig. 4. The result for the monoenergetic injection case is practically identical to the two-component case, and so was omitted.
Current usage metrics show cumulative count of Article Views (full-text article views including HTML views, PDF and ePub downloads, according to the available data) and Abstracts Views on Vision4Press platform.
Data correspond to usage on the plateform after 2015. The current usage metrics is available 48-96 hours after online publication and is updated daily on week days.
Initial download of the metrics may take a while.