Open Access
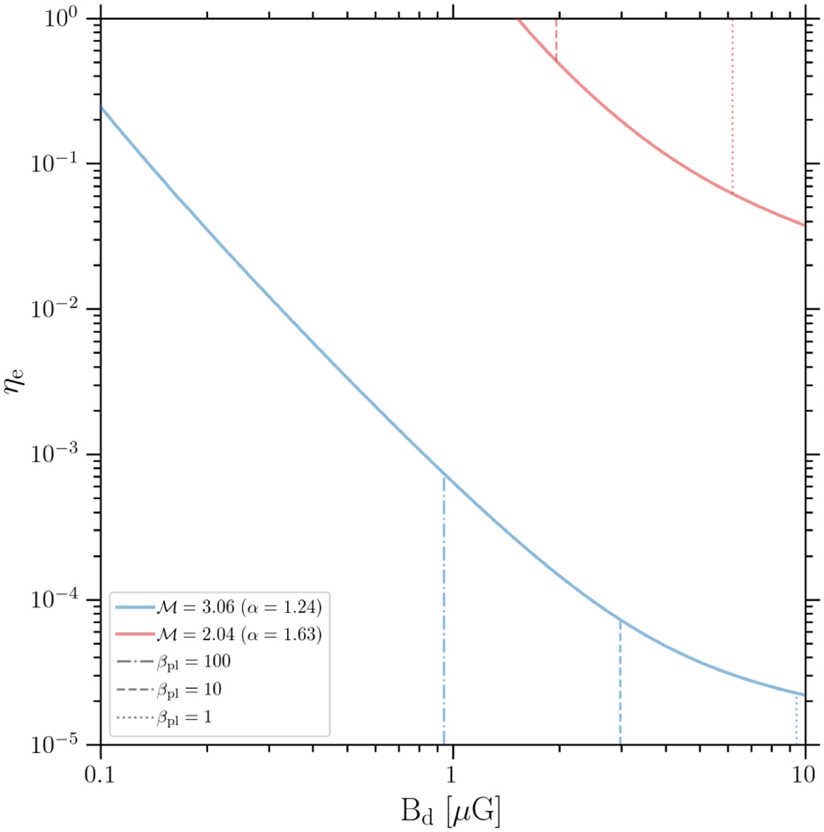
Fig. 14

Download original image
Electron acceleration efficiency that is required to reproduce the radio luminosity of the radio relic in A754 as a function of the downstream magnetic field. Vertical lines denote magnetic field strengths corresponding to different βpl values.
Current usage metrics show cumulative count of Article Views (full-text article views including HTML views, PDF and ePub downloads, according to the available data) and Abstracts Views on Vision4Press platform.
Data correspond to usage on the plateform after 2015. The current usage metrics is available 48-96 hours after online publication and is updated daily on week days.
Initial download of the metrics may take a while.