Fig. 4

Download original image
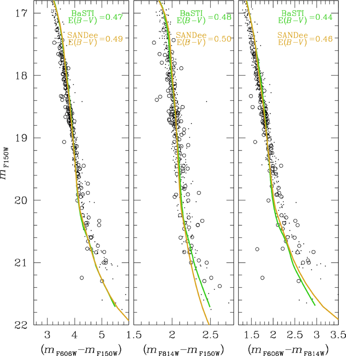
Collection of CMDs for the MS of NGC 6121. Only well-measured cluster members are shown using the same symbols as in Fig. 2. The green and yellow lines represent the best-fit BaSTI and SANDee isochrones, respectively, using distance and metallicity from the literature. The best-fit extinction for each isochrone is provided in each panel.
Current usage metrics show cumulative count of Article Views (full-text article views including HTML views, PDF and ePub downloads, according to the available data) and Abstracts Views on Vision4Press platform.
Data correspond to usage on the plateform after 2015. The current usage metrics is available 48-96 hours after online publication and is updated daily on week days.
Initial download of the metrics may take a while.