Fig. 6

Download original image
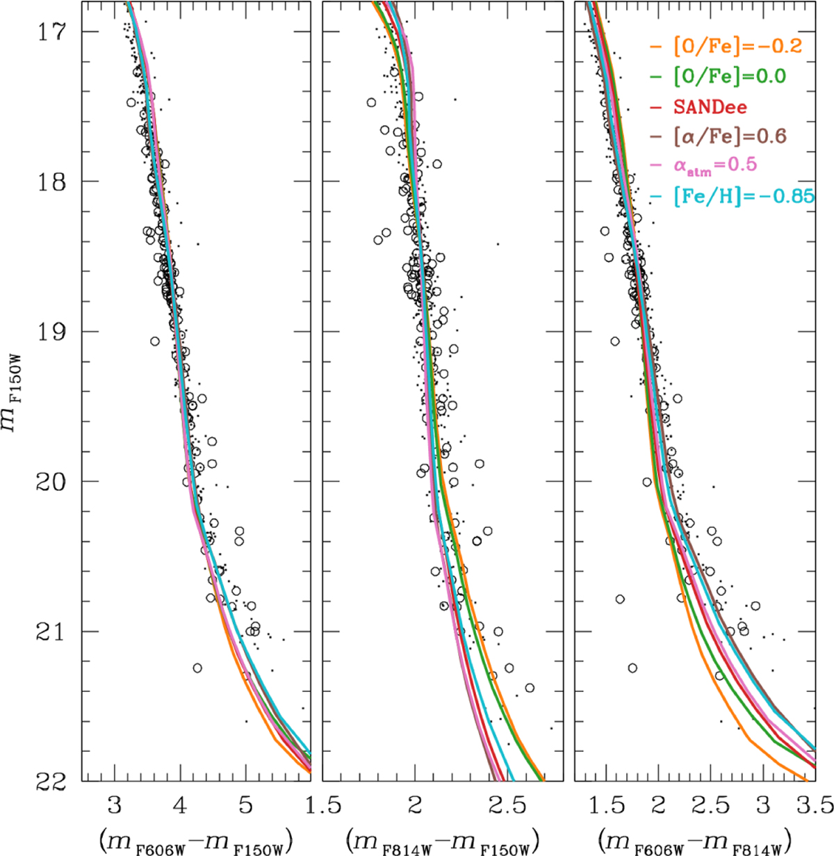
Selected alternative isochrone fits that are most different from the nominal SANDee isochrone shown in Fig. 4. The nominal isochrone is shown in gray for reference. Depending on the filter combination, some SANDee isochrones provide a good fit to the observed CMD, even at the faint-end of the MS, but no isochrone can capture all features in all three CMDs.
Current usage metrics show cumulative count of Article Views (full-text article views including HTML views, PDF and ePub downloads, according to the available data) and Abstracts Views on Vision4Press platform.
Data correspond to usage on the plateform after 2015. The current usage metrics is available 48-96 hours after online publication and is updated daily on week days.
Initial download of the metrics may take a while.